Poslední aktualizace :
05/12/2025
Antiemetikum   Prochlorperazine edysilate  
nosní kapky
injekce
Stabilita farmaceutických přípravků Stabilita směsí Faktory ovlivňující stabilitu Kompatibilita Odkazy pdf
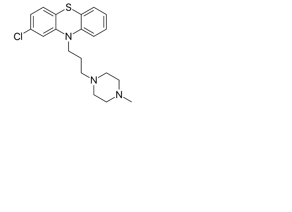
   Chemický vzorec  

nosní kapky
Stabilita farmaceutických přípravků   nosní kapky   Stabilita farmaceutických přípravků : Prochlorperazine edysilate     
Obal Origine Pomocné látky Teplota Uchovávání Trvání stability Odkazy
plastová láhev prášek 250 mg
kyselina citronová 5 mg
NaCl 0.9% 450 mg
Čištěná voda >> 50 mL
kyselina chlorovodíková 0.1N pH 2.5
22°C Chráněno před světlem
60 Den
4054


  Mentions Légales