Letztes “update” :
27/01/2026
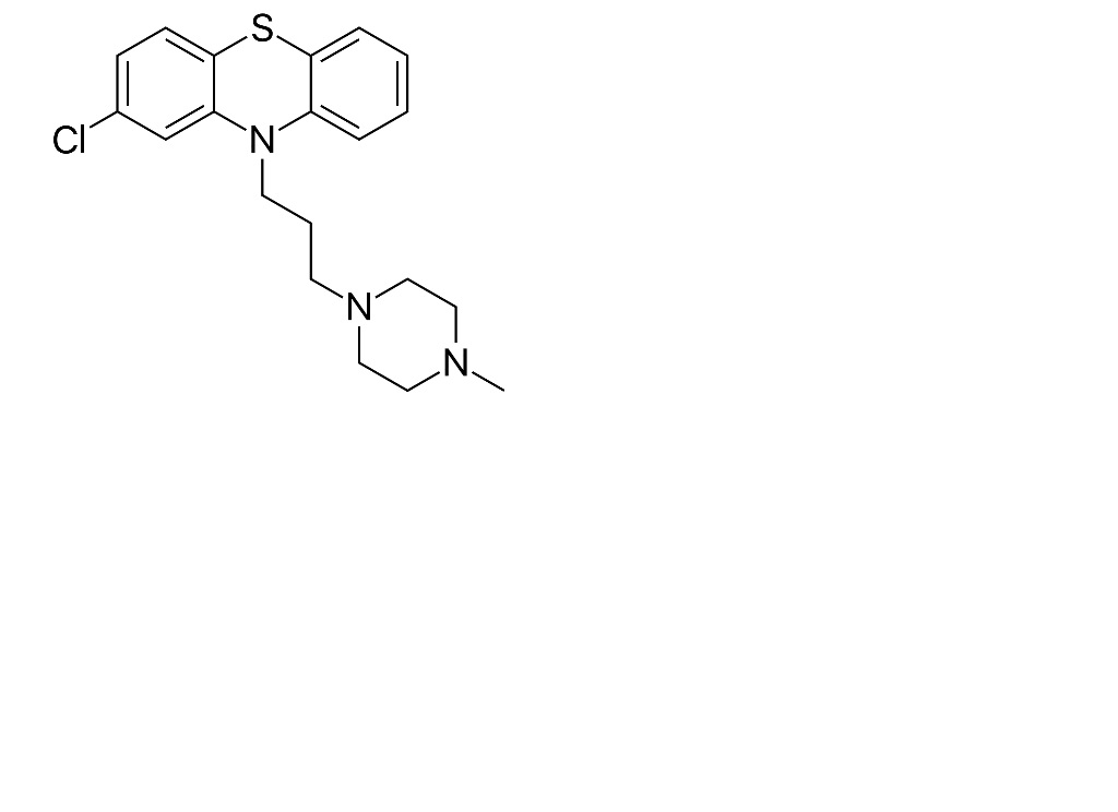
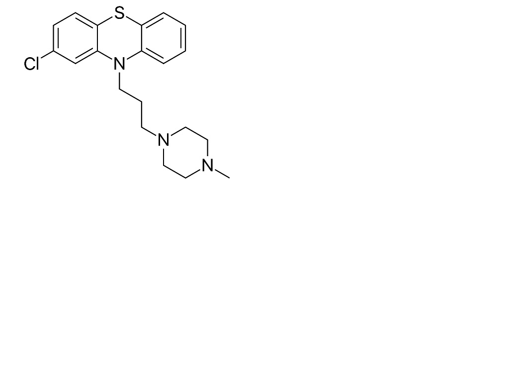
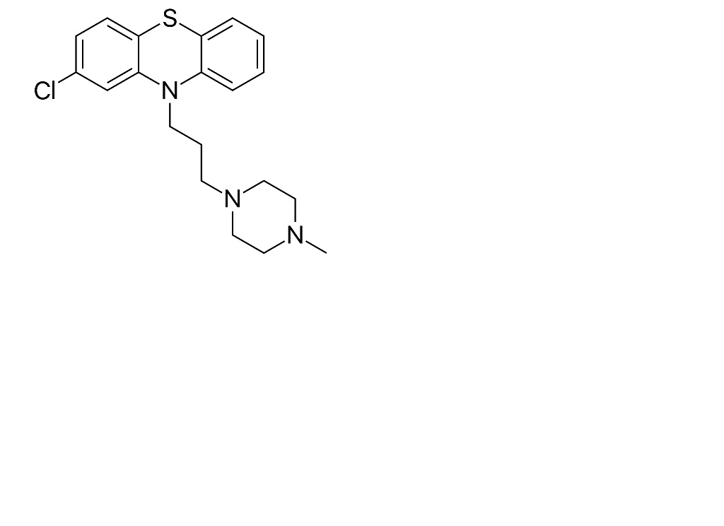
Antiemetikum   Prochlorperazine edysilate  
Nasentropfen
Injektion
Stabilität von pharmazeutischen Präparaten Gemengestabilität Stabilitätbeeinflussende Faktoren Kompatibilitäten Literaturverzeichnis pdf
   Chemische Struktur  

Nasentropfen
Stabilität von pharmazeutischen Präparaten   Nasentropfen   Stabilität von pharmazeutischen Präparaten : Prochlorperazine edysilate     
Behälter Origine Hilfsstoff Temperatur Konservierung Dauer der Stabilität Literaturverzeichnis
Plastikflasche Pulver 250 mg
Zitronensäure 5 mg
NaCl 0.9% 450 mg
Gereinigtes Wasser >> 50 mL
Salzsäure 0.1N pH 2.5
22°C Ohne Licht
60 Tag
4054


  Mentions Légales