最新更新 :
27/01/2026
制吐薬   Prochlorperazine edysilate  
点鼻薬
注射薬
調剤時の安定性 混合時の安定性 安定性に影響する因子 互換性 引用文献 PDF
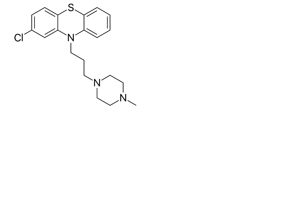
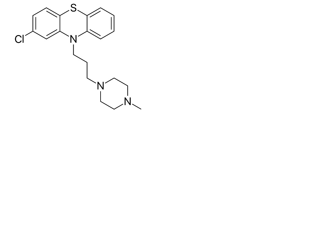
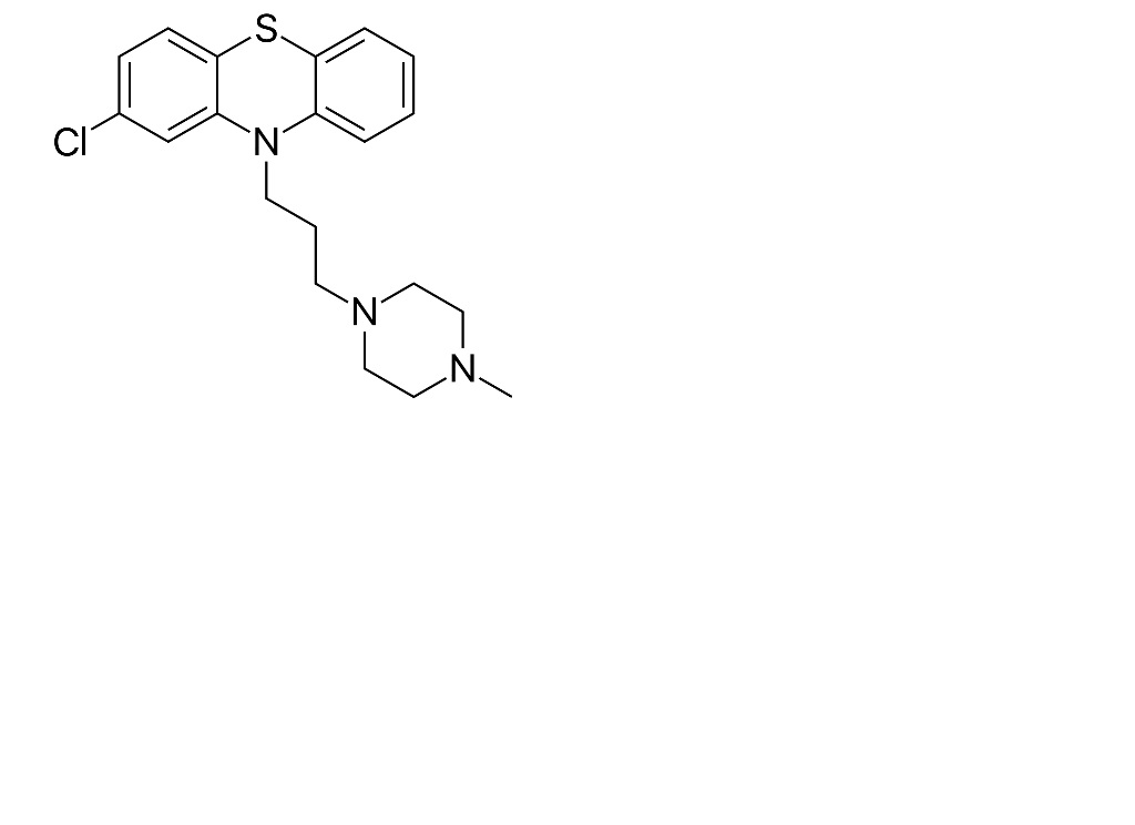
   化学構造  

点鼻薬
調剤時の安定性   点鼻薬   調剤時の安定性 : Prochlorperazine edysilate     
容器 Origine 添加剤 温度 保管 安定期間 引用文献
プラスチックボトル 粉 250 mg
クエン酸 5 mg
NaCl 0.9% 450 mg
精製水 >> 50 mL
塩酸 0.1N pH 2.5
22°C 遮光
60 日
4054


  Mentions Légales