Poslední aktualizace :
18/03/2026
Infostab
Junginių sąrašas
Sąrašai
Ieškoti suderinamumo
Y formos suderinamumo lentelė
Bibliografija
Mokslinių tyrimų Komandos
valistab
plakatas
Jungtys
rėmėjai
Autorius
Naudojimo instrukcija
Biuletenį
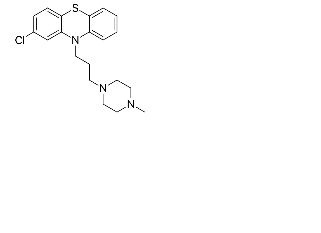
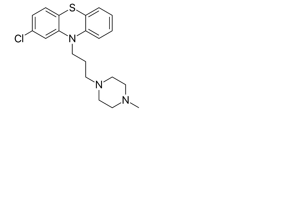
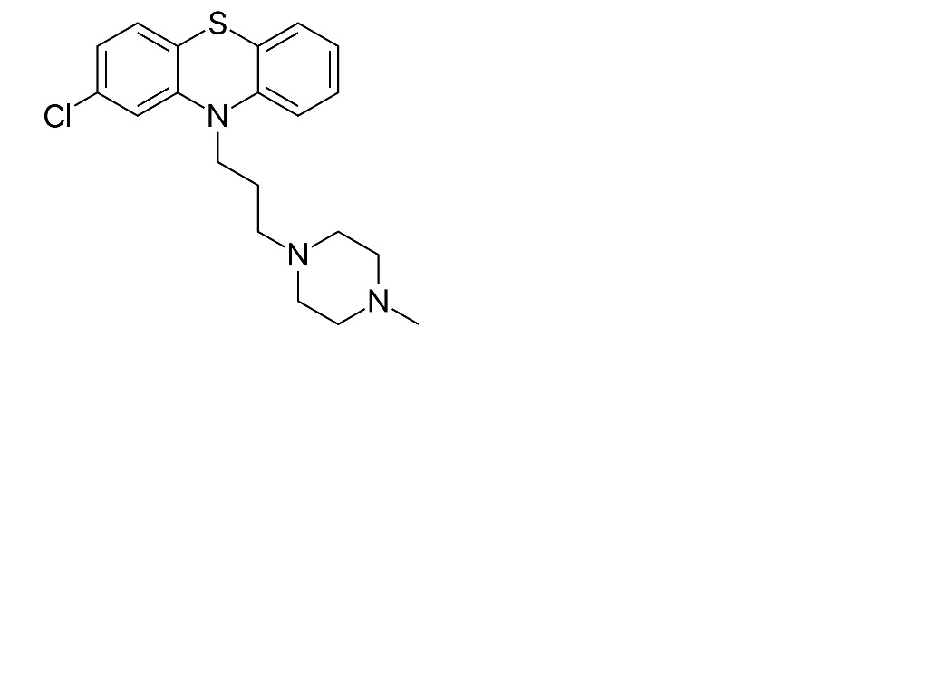
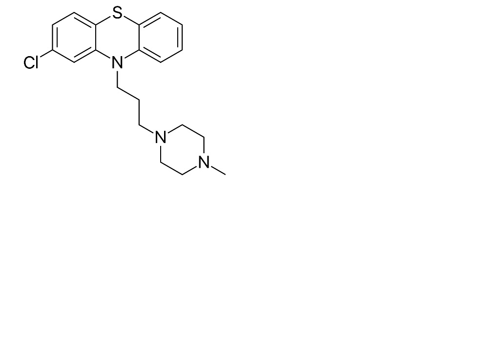
Prochlorperazine edysilate
Cheminė sandara
Stabilumas farmacinių preparatų : Prochlorperazine edysilate
250 mg
Citrinos rūgštis
5 mg
NaCl 0,9 %
450 mg
Išvalytas vanduo
>> 50 mL
Vandenilio chloridas
0.1N pH 2.5
22°C
60
4054
Mentions Légales