Última actualización :
27/01/2026
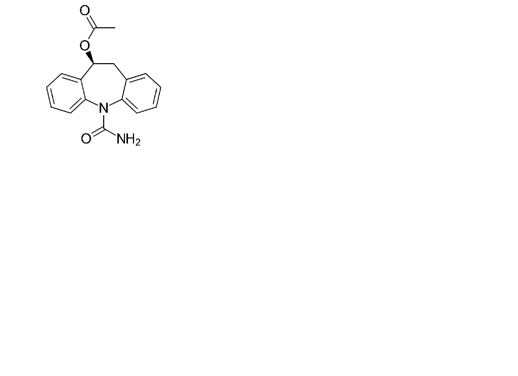
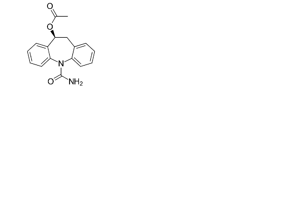
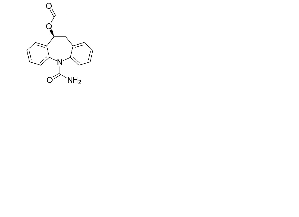
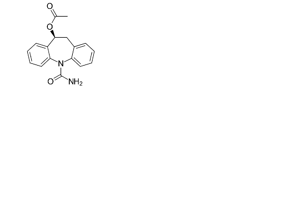
Antiepiléptico   Eslicarbazepine acetate  
Solución Oral
La estabilidad de las preparaciones farmacéuticas Estabilidad en mezcla Factores que influyen sobre la estabilidad Compatibilidades Bibliografía pdf
   Estructura química  

Solución Oral
Estabilidad en mezcla   Solución Oral   Estabilidad en mezcla : Eslicarbazepine acetate     
Ausencia de datos

  Mentions Légales