Letztes “update” :
27/01/2026
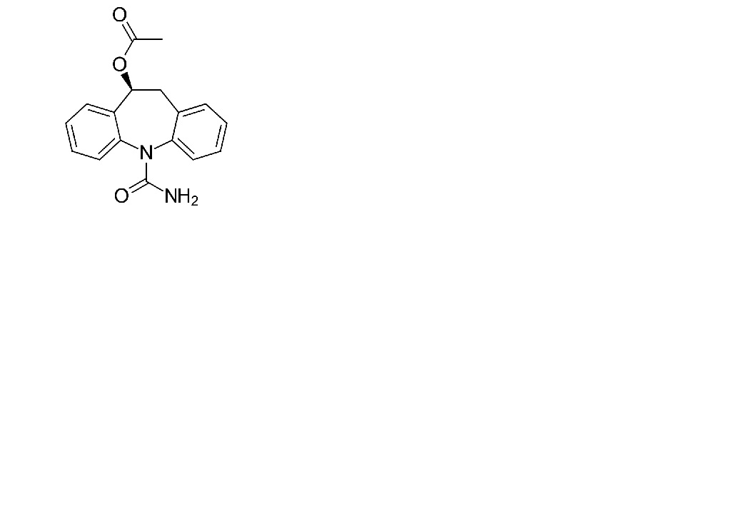
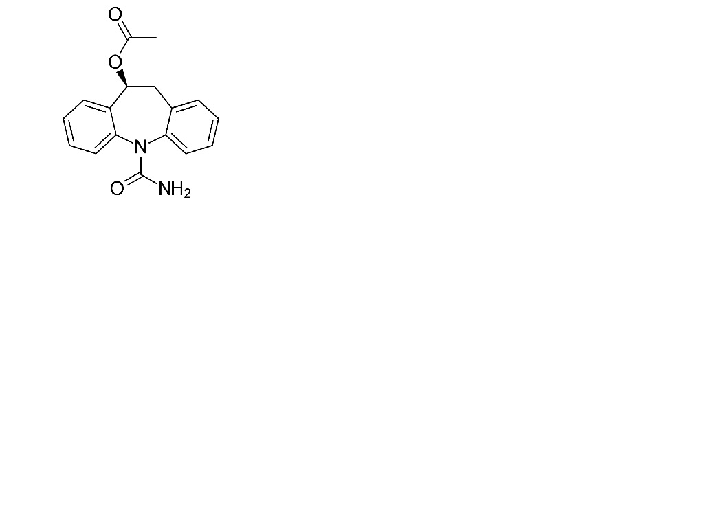
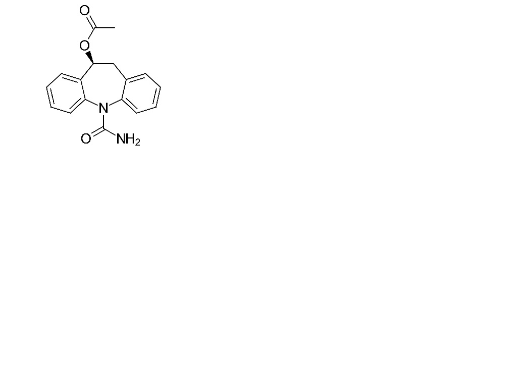
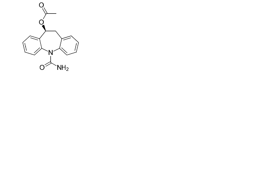
Antiepileptikum   Eslicarbazepine acetate  
Lösung zum Einnehmen
Stabilität von pharmazeutischen Präparaten Gemengestabilität Stabilitätbeeinflussende Faktoren Kompatibilitäten Literaturverzeichnis pdf
   Chemische Struktur  

Lösung zum Einnehmen
Gemengestabilität   Lösung zum Einnehmen   Gemengestabilität : Eslicarbazepine acetate     
Keine Daten

  Mentions Légales