Последнее обновление :
27/01/2026
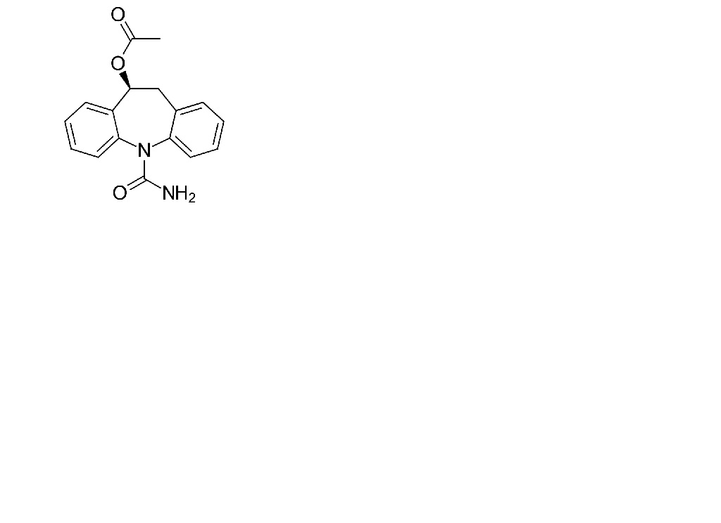
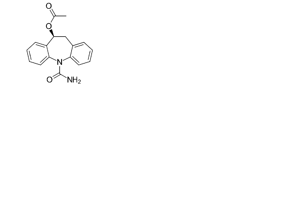
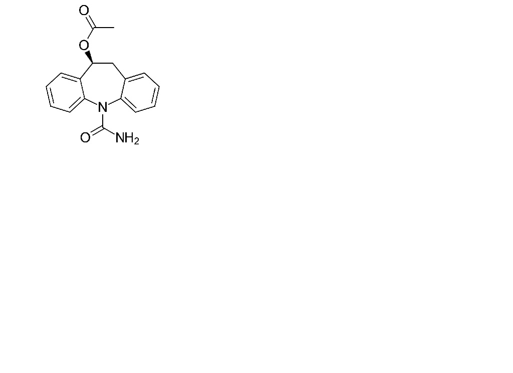
Противоэпилептическое средство   Eslicarbazepine acetate  
Раствор для перорального приёма
Стабильность фармацевтических препаратов Стабильность смесей Факторы, которые влияют на стабильность Совместимость Библиография pdf
   Химическая структура  

Раствор для перорального приёма
Стабильность смесей   Раствор для перорального приёма   Стабильность смесей : Eslicarbazepine acetate     
данных нет

  Mentions Légales