Utolsó frissítés :
18/03/2026
Antiepileptikum   Eslicarbazepine acetate  
belsőleges oldat
Stabilitása gyógyszerészeti készítmények A keverékek stabilitása Stabilitást befolyásoló tényezők Kompatibilitás Irodalom pdf
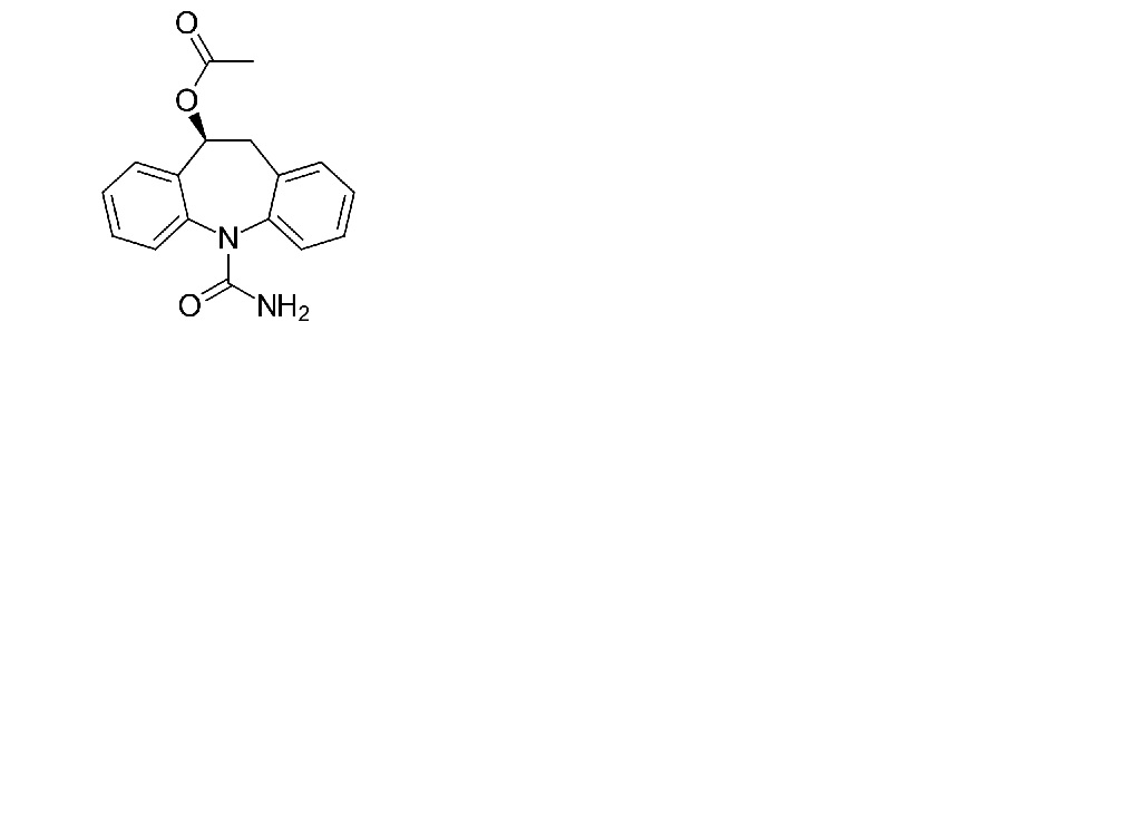
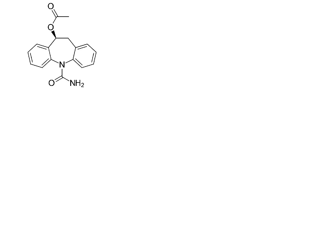
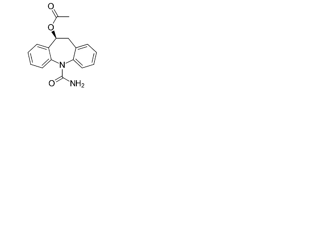
   Kémiai szerkezet   

belsőleges oldat
A keverékek stabilitása   belsőleges oldat   A keverékek stabilitása : Eslicarbazepine acetate     
Hiányzó adat

  Mentions Légales