Pēdējā atjaunošana :
27/01/2026
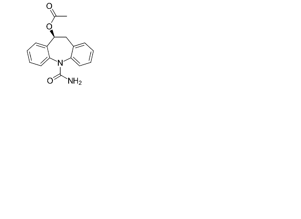
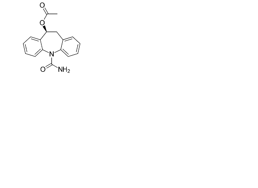
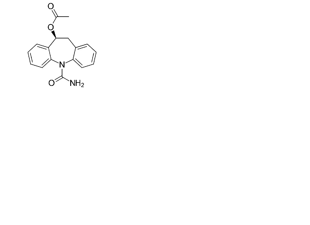
Antiepileptiķis   Eslicarbazepine acetate  
Orāls šķīdums
Stabilitāte farmaceitisko preparātu Maisījuma stabilitāte Stabilitāti ietekmējoši faktori Saderība Literatūras saraksts pdf
   Ķīmiskā uzbūve   

Orāls šķīdums
Maisījuma stabilitāte   Orāls šķīdums   Maisījuma stabilitāte : Eslicarbazepine acetate     
Nav datu

  Mentions Légales