Последно актуализиране :
27/01/2026
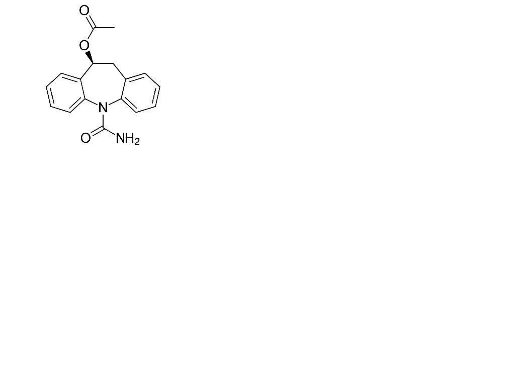
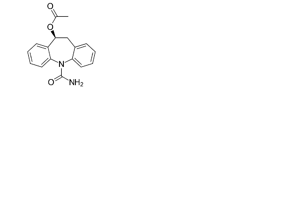
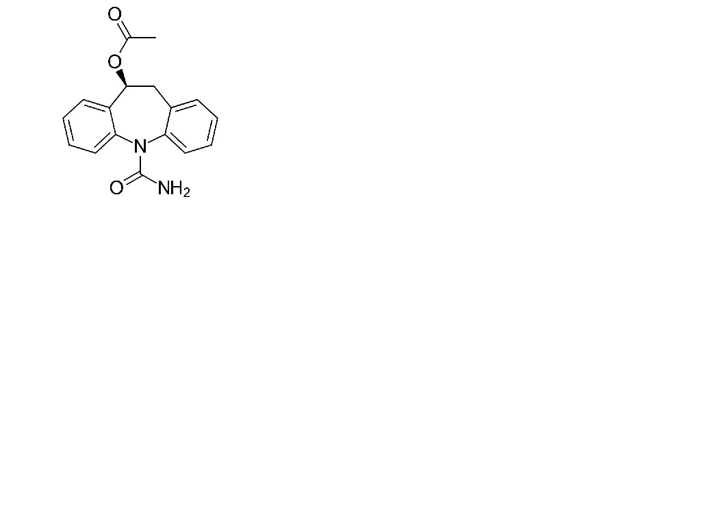
Антиепилептик   Eslicarbazepine acetate  
Орален разтвор
Стабилност на лекарствени препарати Стабилност на смеси Фактори, повлияващи стабилността Съвместимост Библиография Pdf
   Химична структура  

Орален разтвор
Стабилност на смеси   Орален разтвор   Стабилност на смеси : Eslicarbazepine acetate     
Няма данни

  Mentions Légales