Zadnji put ažurirano :
27/01/2026
antiepileptik   Eslicarbazepine acetate  
oralna otopina
Stabilnost farmaceutskih pripravaka Stabilnost mješavine Stabilizacijski faktor Kompatibilnosti Bibliografija pdf
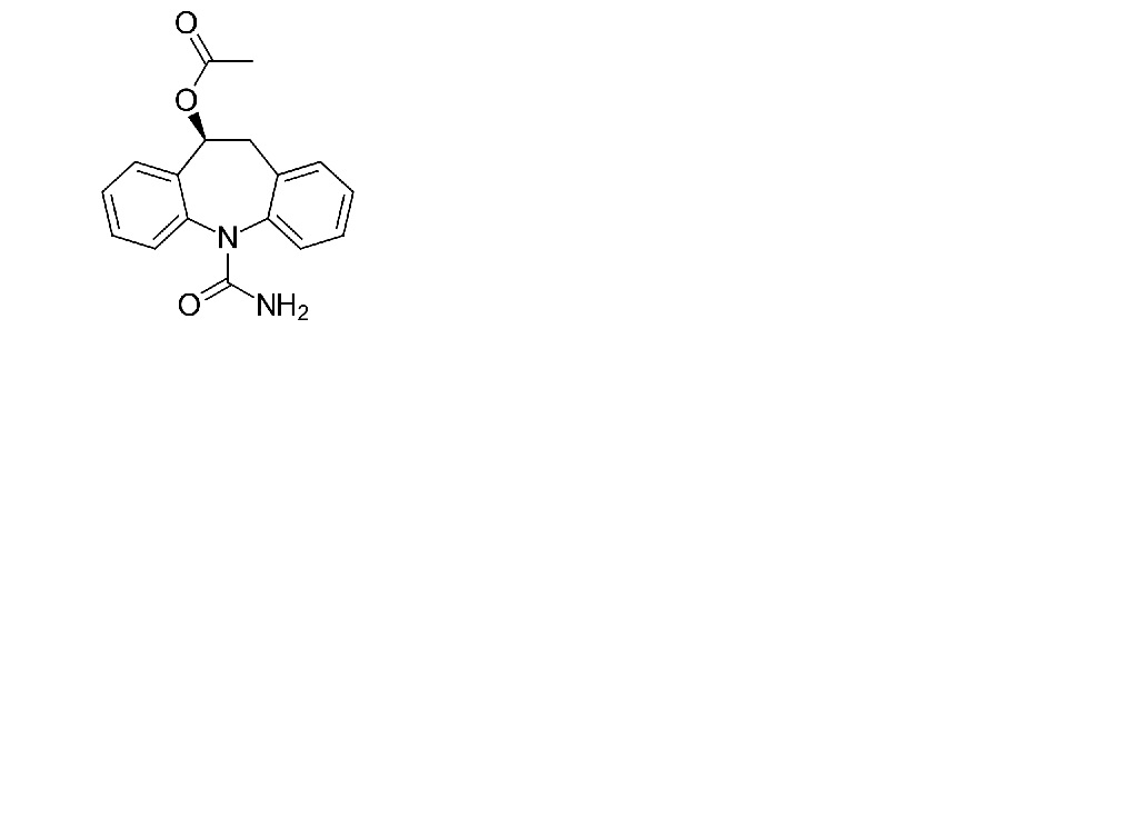
   Kemijska struktura  

oralna otopina
Stabilnost mješavine   oralna otopina     Stabilnost mješavine : Eslicarbazepine acetate     
bez podataka

  Mentions Légales