آخر تحديث :
27/04/2026
مختلف   Baclofen  
المراهم
حقن عن طريق الفم
استقرار المستحضرات الصيدلانية استقرار مخاليط العوامل التي تؤثر على الاستقرار التوافق مراجع pdf
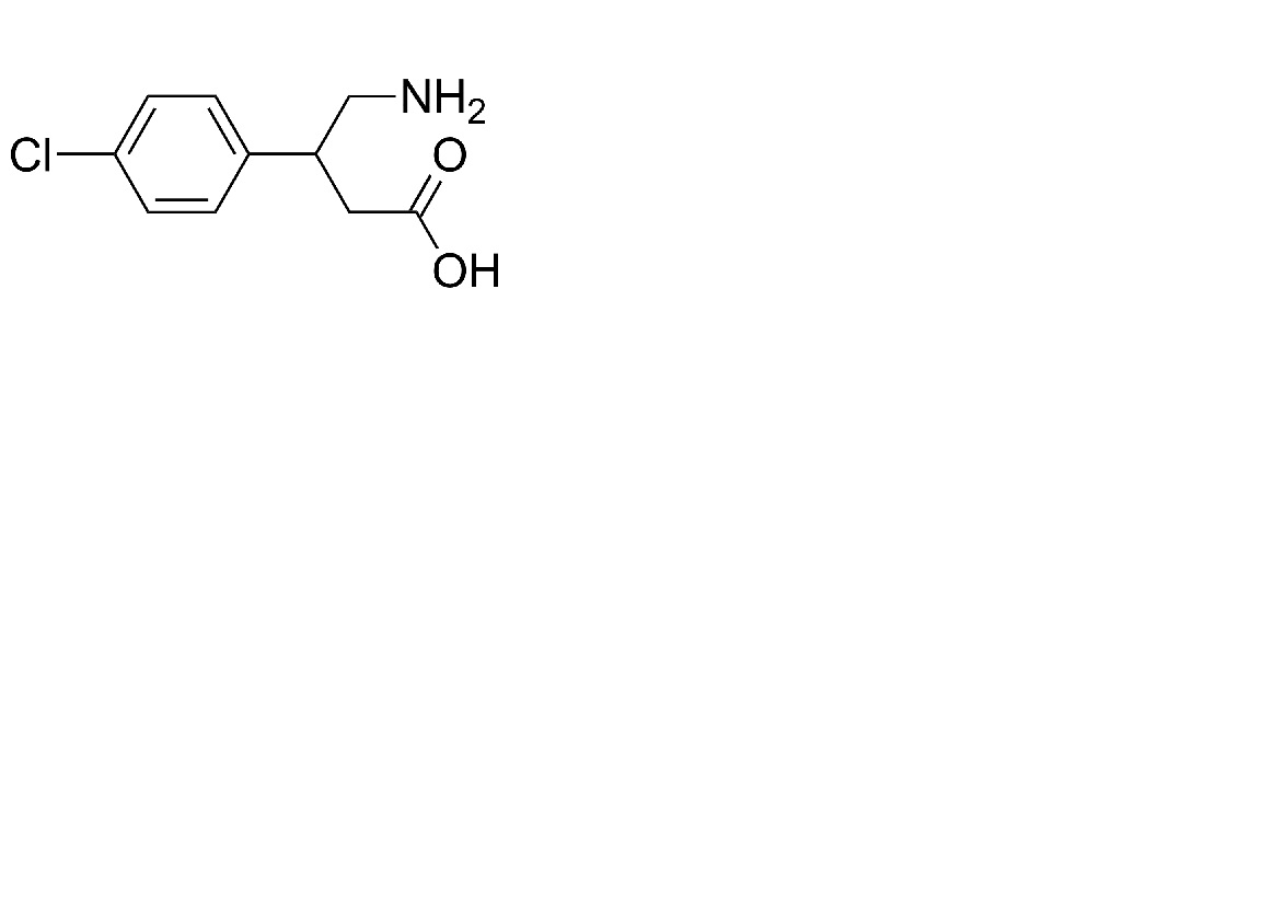
   التركيب الكيميائي  

المراهم
استقرار المستحضرات الصيدلانية   المراهم   استقرار المستحضرات الصيدلانية : Baclofen     
لا توجد بيانات

  Mentions Légales