Poslední aktualizace :
27/04/2026
Įvairūs   Baclofen  
Tepalai
Geriamas tirpalas Įpurškimas
Stabilumas farmacinių preparatų Mišinių stabilumas Stabilumą lemiantys veiksniai Suderinamumas Bibliografija pdf
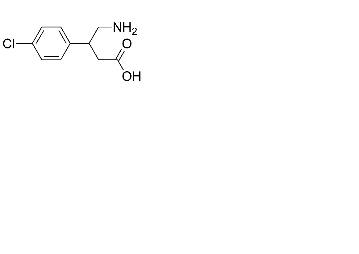
   Cheminė sandara  

Tepalai
Stabilumas farmacinių preparatų   Tepalai   Stabilumas farmacinių preparatų : Baclofen     
Nėra duomenų

  Mentions Légales