Senaste uppdateringen :
21/01/2026
Infostab
Förteckning över substanser
Sammanfattande listor
Sök efter kompatibilitet
Kompatibilitetstabell
Hänvisningar
forskargrupper
valistab
Posters
Anslutningar
sponsorer
Författare
Användaranvisning
Nyhetsbladet
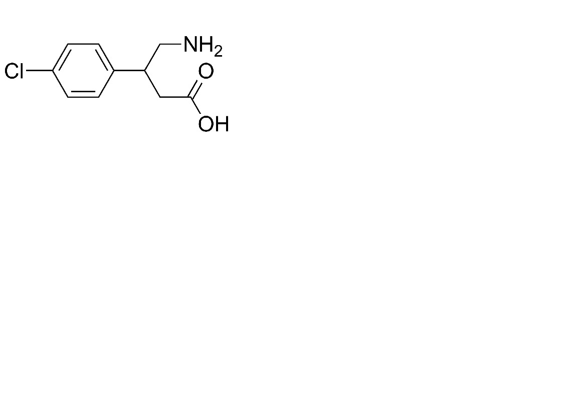
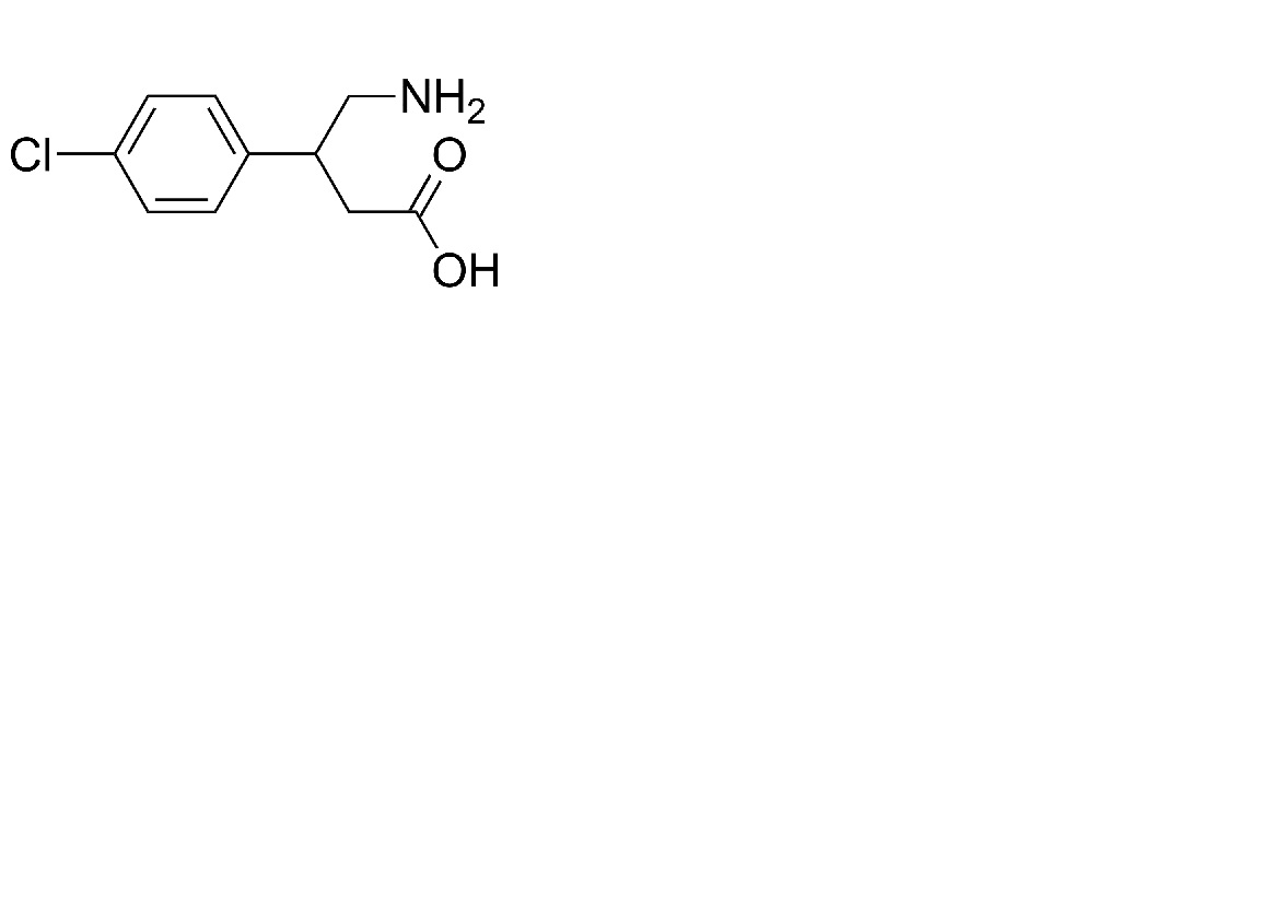
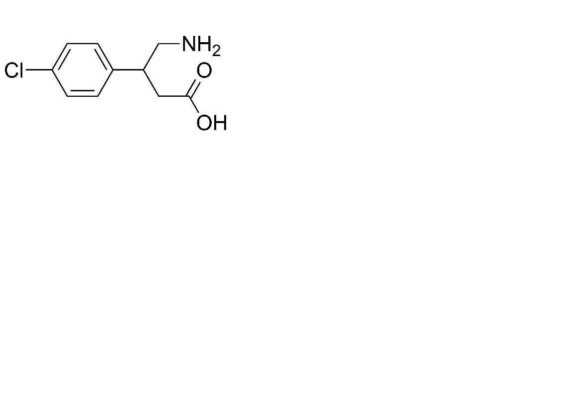
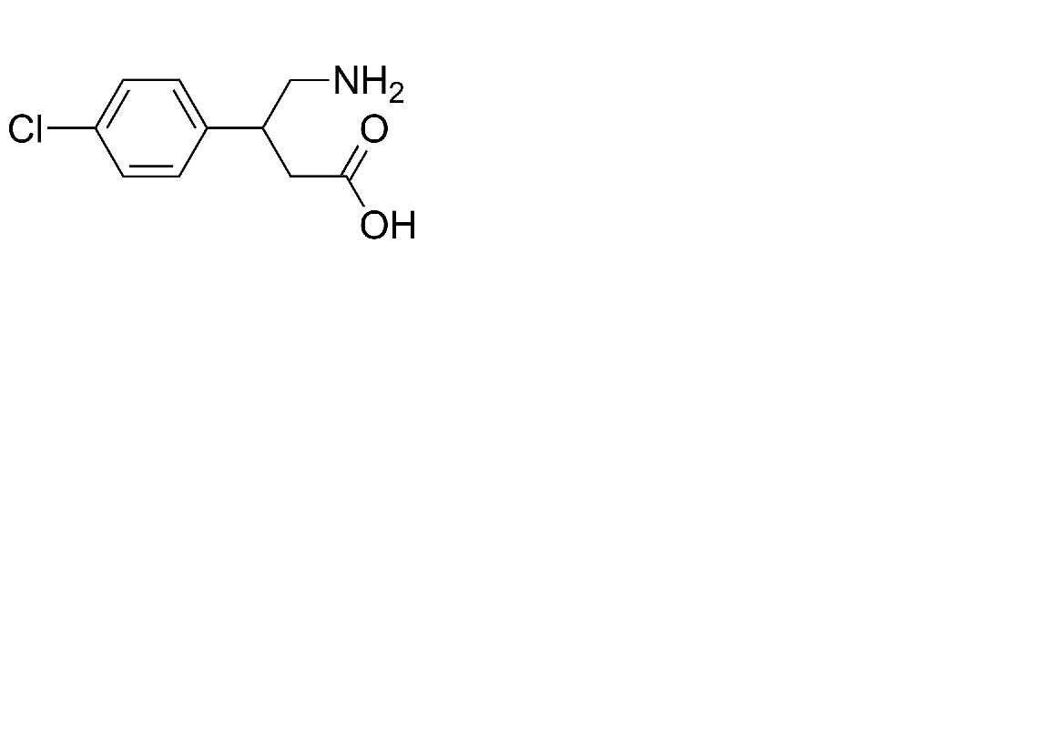
Baclofen
Molekylstruktur
Stabilitet av läkemedel : Baclofen
Ingen uppgift
Mentions Légales