Laatste update :
27/04/2026
Diverse   Baclofen  
zalf
injecteerbaar geneesmiddel Orale Oplossing
Stabiliteit van farmaceutische preparaten Stabiliteit in mengsels Factoren die de stabiliteit beïnvloeden Verenigbaarheden Literatuur pdf
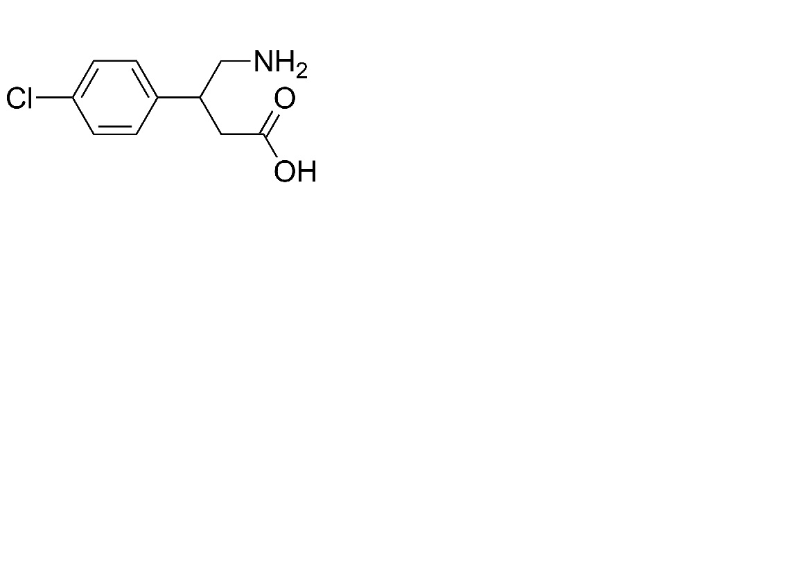
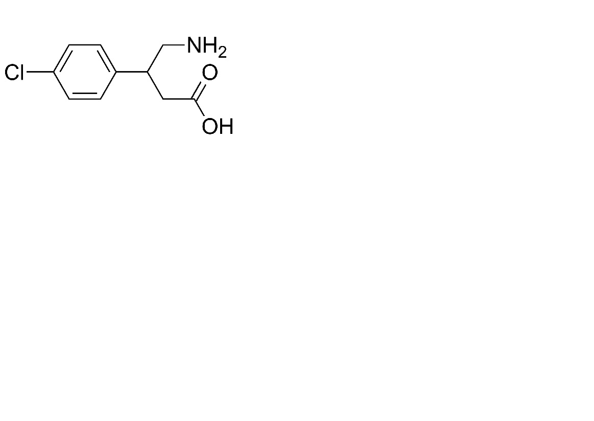
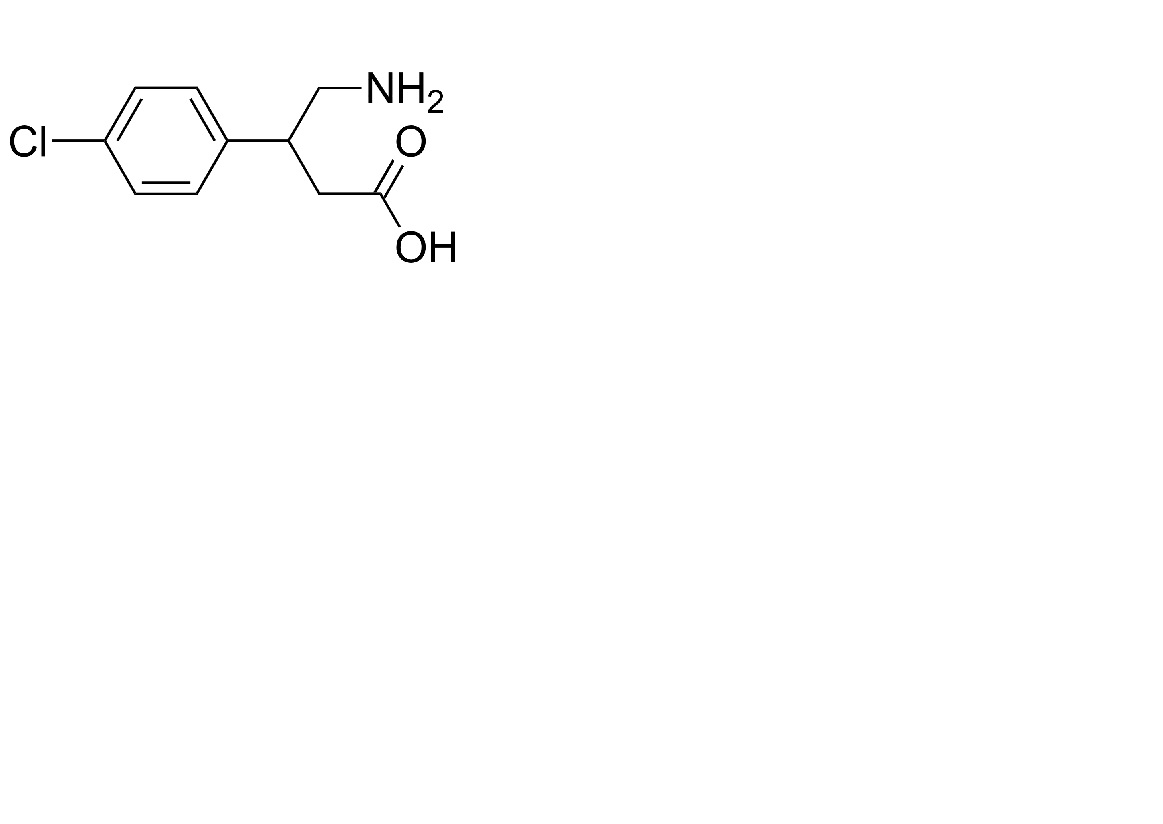
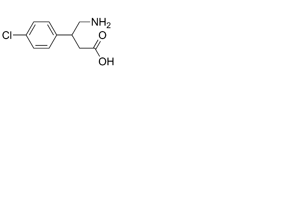
   Molecuulstructuur  

zalf
Stabiliteit van farmaceutische preparaten   zalf   Stabiliteit van farmaceutische preparaten : Baclofen     
geen gegevens

  Mentions Légales