Ostatnia aktualizacja :
21/01/2026
Różne   Indocyanine green  
Injekcje
Trwałość roztworów Trwałość w mieszaninie Czynnik wpływający na trwałość Zgodność Sposób podania Bibliografia pdf
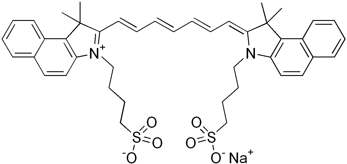
   Struktura chemiczna  

Nazwa handlowa   Nazwa handlowa     

Trade names are indicative and excipients composition can be different depending on the country and manufacturers

Infracyanine Francja
Verdye Belgia, Hiszpania, Irlandia, Niemcy, Rumunia, Szwecja, Węgry, Włochy
Trwałość roztworów   Injekcje   Trwałość roztworów : Indocyanine green     
Pojemnik Rozpuszczalnik Stężenie Temperatura Przechowywanie Czas trwania stabilności Bibliografia
Szkło Woda do wstrzyknięć 0,025 mg/ml 4°C Chronić od światła
24 Godzina
4289
Poziom wiarygodności D

Strzykawka Woda do wstrzyknięć 2,5 mg/ml -20°C Nie wyszczególniony
28 Dzień
4246
Poziom wiarygodności C

Strzykawka Woda do wstrzyknięć 2,5 mg/ml 25°C Nie wyszczególniony
30 Godzina
4246
Poziom wiarygodności C

Strzykawka Woda do wstrzyknięć 2,5 mg/ml 4°C Nie wyszczególniony
32 Godzina
4246
Poziom wiarygodności C


  Mentions Légales