Останнє оновлення :
27/04/2026
різноманітні   Indocyanine green  
ін'єкція
Стійкість в розчинах Стійкість сумішей Фактори, що впливають на стабільність Сумісність Шлях введення Список літератури pdf
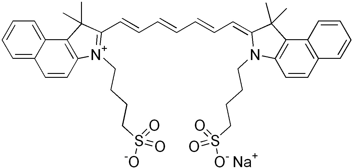
   Хімічна структура  

Торгова назва   Торгова назва     

Торгові назви є орієнтовними, а склад допоміжних речовин може бути різним залежно від країни та виробника

Infracyanine Франція
Verdye Ірландія, Іспанія, Італія, Бельгія, Німеччина, Румунія, Угорщина, Швеція

Фактори, що впливають на стабільність   ін'єкція   Фактори, що впливають на стабільність : Indocyanine green        
Список літератури
Зберігання світло Спонукає хімічна деградація 4289
Розчинник Натрію хлорид 0,9% Спонукає хімічне осадження 3930
температура 4°C Спонукає Покращена стабільність 4289

  Mentions Légales