Последно актуализиране :
27/04/2026
Други   Indocyanine green  
Инжекция/Инжекционен
Стабилност на разтвори Стабилност на смеси Фактори, повлияващи стабилността Съвместимост Път на въвеждане Библиография Pdf
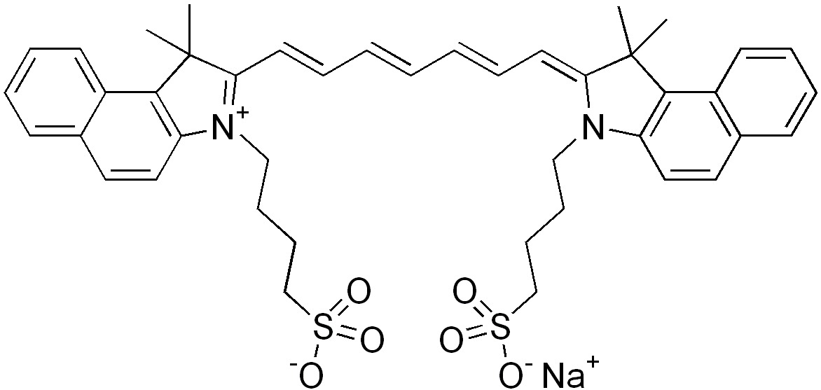
   Химична структура  

Търговско наименование   Търговско наименование     

Търговските имена са примерни и съставът на помощните вещества може да бъде различен в зависимост от държавата и лабораториите

Infracyanine Франция
Verdye Белгия, Германия, Ирландия, Испания, Италия, Румъния, Унгария, Швеция
Стабилност на разтвори   Инжекция/Инжекционен   Стабилност на разтвори : Indocyanine green     
Контейнер Разтворител Концентрация Температура Съхранение Продължителност на стабилността Библиография
Стъкло Вода за инжекции 0,025 mg/ml 4°C Защита от светлина
24 Час
4289
Степен на доказаност D

шприц полипропилен Вода за инжекции 2,5 mg/ml -20°C Не е уточнено
28 Ден
4246
Степен на доказаност C

шприц полипропилен Вода за инжекции 2,5 mg/ml 25°C Не е уточнено
30 Час
4246
Степен на доказаност C

шприц полипропилен Вода за инжекции 2,5 mg/ml 4°C Не е уточнено
32 Час
4246
Степен на доказаност C


  Mentions Légales