最新更新 :
27/04/2026
様々なもの   Indocyanine green  
注射薬
溶媒内の安定性 混合時の安定性 安定性に影響する因子 互換性 投与経路 引用文献 PDF
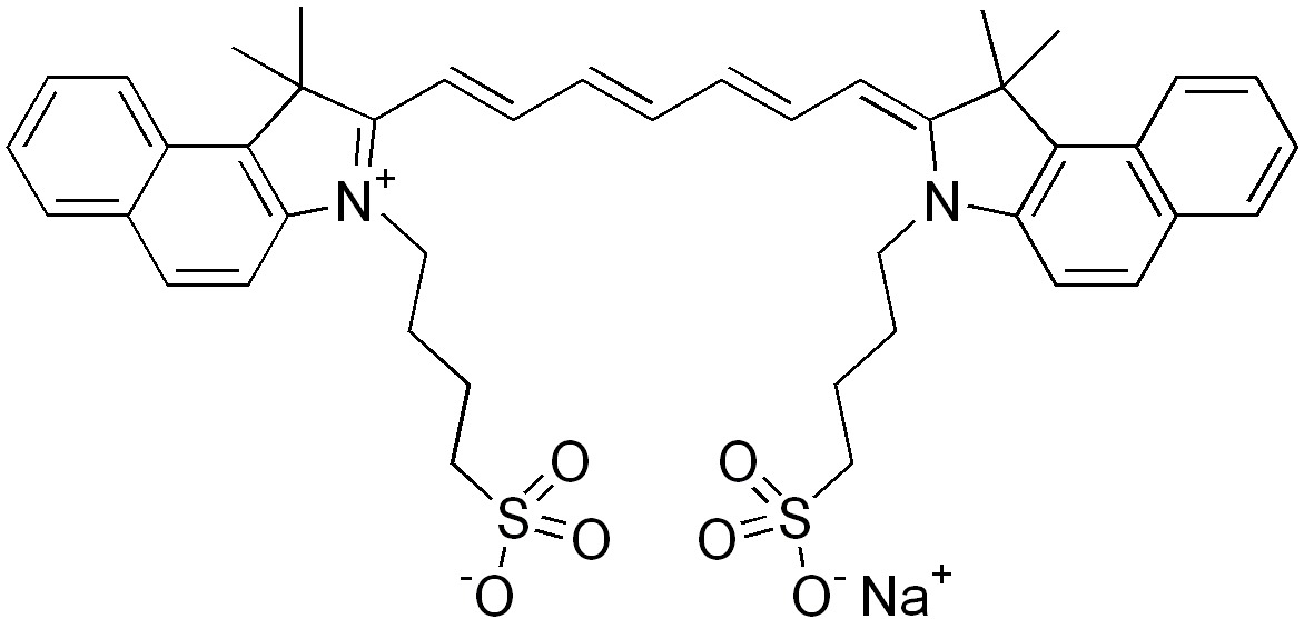
   化学構造  

商品名   商品名     

商品名、賦形剤は国、製薬会社ごとに異なることがあります

Infracyanine フランス
Verdye アイルランド, イタリア, スウェーデン, スペイン, ドイツ, ハンガリー, ベルギー, ルーマニア
溶媒内の安定性   注射薬   溶媒内の安定性 : Indocyanine green     
容器 溶媒 濃度 温度 保管 安定期間 引用文献
ガラス 注射用水 0,025 mg/ml 4°C 遮光
24 時間
4289
エビデンスレベル D

シリンジ ポリプロピレン 注射用水 2,5 mg/ml -20°C 特記なし
28 日
4246
エビデンスレベル C

シリンジ ポリプロピレン 注射用水 2,5 mg/ml 25°C 特記なし
30 時間
4246
エビデンスレベル C

シリンジ ポリプロピレン 注射用水 2,5 mg/ml 4°C 特記なし
32 時間
4246
エビデンスレベル C


  Mentions Légales