Last update :
27/04/2026
Various   Indocyanine green  
injection
Stability in solutions Stability of mixtures Factors which affect stability Compatibility Route of administration References pdf
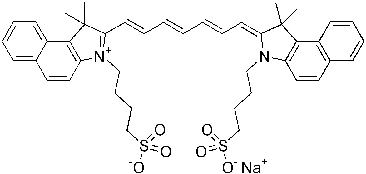
   Chemical structure  

Tradename   Tradename     

Trade names are indicative and excipients composition can be different depending on the country and manufacturers

Infracyanine France
Verdye Belgium, Germany, Hungary, Ireland, Italy, Romania, Spain, Sweden
Stability in solutions   injection   Stability in solutions : Indocyanine green     
Container Solvent Concentration Temperature Storage Duration of stability References
Glass Water for Injection 0,025 mg/ml 4°C Protect from light
24 Hour
4289
Level of evidence D

Polypropylen Syringe Water for Injection 2,5 mg/ml -20°C Not specified
28 Day
4246
Level of evidence C

Polypropylen Syringe Water for Injection 2,5 mg/ml 25°C Not specified
30 Hour
4246
Level of evidence C

Polypropylen Syringe Water for Injection 2,5 mg/ml 4°C Not specified
32 Hour
4246
Level of evidence C


  Mentions Légales