Seneste opdatering :
27/04/2026
Diverse   Indocyanine green  
Injektion
Stabilitet i (vandige) opløsninger Stabilitet i blandinger Faktorer der påvirker stabiliteten Kompatibilitet Administrationsvej Bibliografi pdf
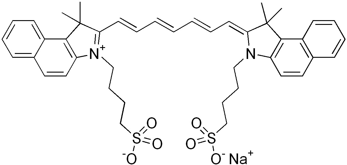
   Kemisk struktur  

Handelsnavn   Handelsnavn     

Handel navne er vejledende og hjælpestoffer sammensætning kan være forskellig afhængigt af landet og laboratorier

Infracyanine Frankrig
Verdye Belgien, Irland, Italien, Rumænien, Spanien, Sverige, Tyskland, Ungarn
Stabilitet i (vandige) opløsninger   Injektion   Stabilitet i (vandige) opløsninger : Indocyanine green     
Beholder Opløsningsmiddel Koncentration Temperatur Konservering Varighed af stabilitet Bibliografi
Glas Vand til injektion 0,025 mg/ml 4°C Beskyt mod lys
24 Time
4289
Level af bevismateriale D

sprøjte polypropylen Vand til injektion 2,5 mg/ml -20°C Ikke nærmere angivet
28 Dag
4246
Level af bevismateriale C

sprøjte polypropylen Vand til injektion 2,5 mg/ml 25°C Ikke nærmere angivet
30 Time
4246
Level af bevismateriale C

sprøjte polypropylen Vand til injektion 2,5 mg/ml 4°C Ikke nærmere angivet
32 Time
4246
Level af bevismateriale C


  Mentions Légales