Poslední aktualizace :
27/04/2026
Įvairūs   Indocyanine green  
Įpurškimas
Tirpalų stabilumas Mišinių stabilumas Stabilumą lemiantys veiksniai Suderinamumas Leidimo būdai Bibliografija pdf
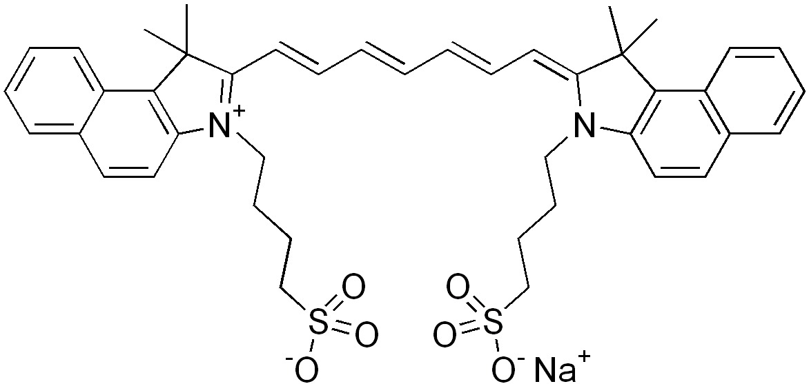
   Cheminė sandara  

Prekinis pavadinimas   Prekinis pavadinimas     

Trade names are indicative and excipients composition can be different depending on the country and manufacturers

Infracyanine Prancūzija
Verdye Airija, Belgija, Ispanija, Italija, Rumunija, Švedija, Vengrija, Vokietija
Tirpalų stabilumas   Įpurškimas   Tirpalų stabilumas : Indocyanine green     
Pakuotė Tirpiklis Koncentracija Temperatūra Laikymas Stabilumo trukmė Nuorodos
Stiklas Vanduo injekcijoms 0,025 mg/ml 4°C Apsaugotas nuo šviesos
24 Valanda
4289
Bandymo lygis D

Švirkštas polipropileno Vanduo injekcijoms 2,5 mg/ml -20°C Nenurodyta
28 Diena
4246
Bandymo lygis C

Švirkštas polipropileno Vanduo injekcijoms 2,5 mg/ml 25°C Nenurodyta
30 Valanda
4246
Bandymo lygis C

Švirkštas polipropileno Vanduo injekcijoms 2,5 mg/ml 4°C Nenurodyta
32 Valanda
4246
Bandymo lygis C


  Mentions Légales