Son güncelleme :
21/01/2026
Çeşitli   Indocyanine green  
Enjeksiyon
Çözeltilerin stabilitesi Karışımlardaki stabilitesi Stabiliteyi etkileyen faktörler Uyumluluk Uygulama yöntemi Kaynaklar pdf
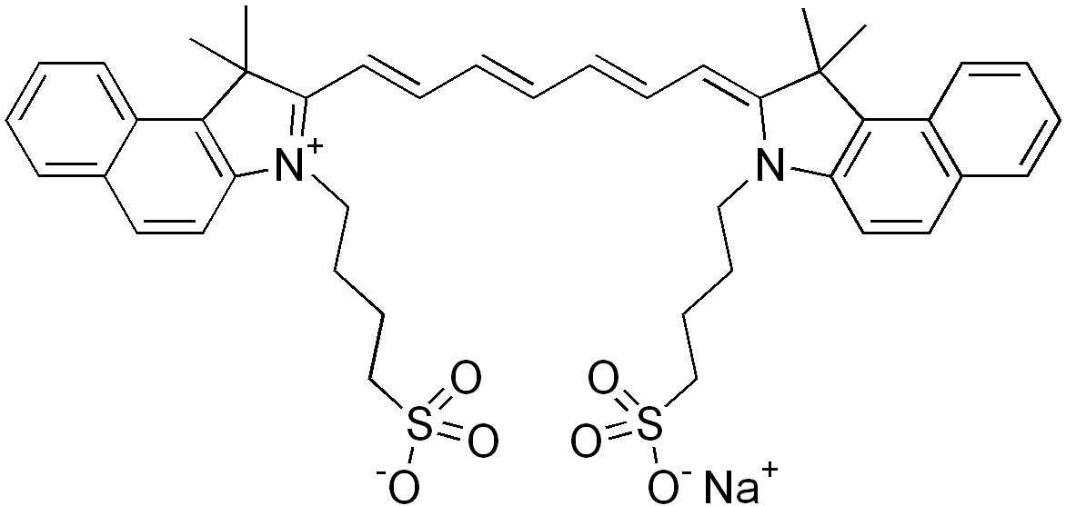
   Kimyasal yapı   

Ticari isim   Ticari isim     

Trade names are indicative and excipients composition can be different depending on the country and manufacturers

Infracyanine Fransa
Verdye Almanya, Belçika, İrlanda, İspanya, İsveç, İtalya, Macaristan, Romanya
Uygulama yöntemi   Uygulama yöntemi :Indocyanine green     
Voie
İntravenöz

  Mentions Légales