Pēdējā atjaunošana :
27/04/2026
Dažādi   Indocyanine green  
Injekcija
Šķīduma stabilitāte Maisījuma stabilitāte Stabilitāti ietekmējoši faktori Saderība Levadīšanas veids Literatūras saraksts pdf
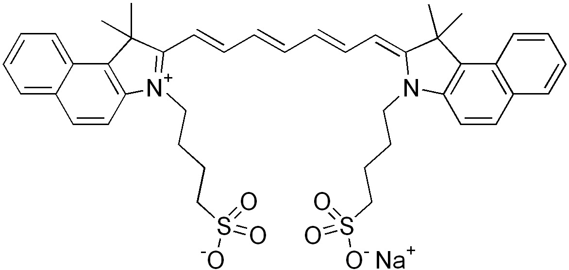
   Ķīmiskā uzbūve   

Oriģinālais nosaukums   Oriģinālais nosaukums     

Tirdzniecības nosaukumi ir apzīmējoši un palīgvielas var atšķirties dažādām valstīm un laboratorijām

Infracyanine Francija
Verdye Beļģija, Īrija, Itālija, Rumānija, Spānija, Ungārija, Vācija, Zviedrija
Levadīšanas veids   Levadīšanas veids :Indocyanine green     
Voie
Intravenozi

  Mentions Légales