Last update :
27/04/2026
Various   Indocyanine green  
injection
Stability in solutions Stability of mixtures Factors which affect stability Compatibility Route of administration References pdf
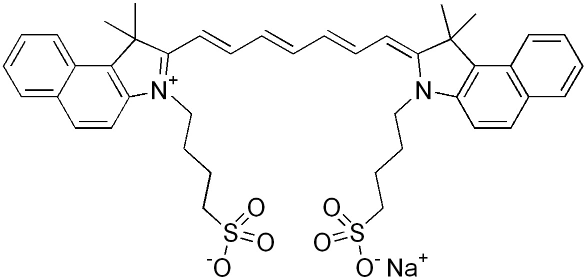
   Chemical structure  

Tradename   Tradename     

Trade names are indicative and excipients composition can be different depending on the country and manufacturers

Infracyanine France
Verdye Belgium, Germany, Hungary, Ireland, Italy, Romania, Spain, Sweden
Route of administration   Route of administration :Indocyanine green     
Route
Intravenous

  Mentions Légales