Utolsó frissítés :
27/04/2026
Különféle   Indocyanine green  
Injekció
Az oldatok stabilitása A keverékek stabilitása Stabilitást befolyásoló tényezők Kompatibilitás Az alkalmazás módja Irodalom pdf
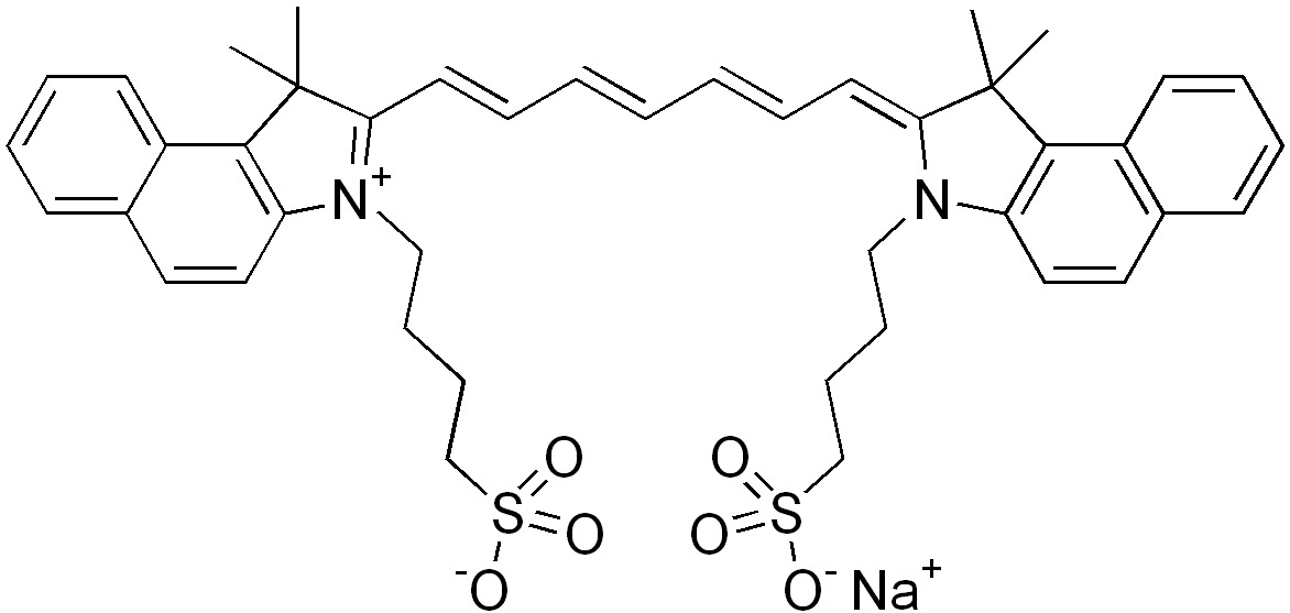
   Kémiai szerkezet   

Kereskedelmi név   Kereskedelmi név     

A kereskedelmi név meghatározó jelentőségű: a készítmények összetétele országonként, előállítóként eltérő lehet

Infracyanine Franciaország
Verdye Belgium, Írország, Magyarország, Németország, Olaszország, Románia, Spanyolország, Svédország
Az alkalmazás módja   Az alkalmazás módja :Indocyanine green     
Voie
Intravénás

  Mentions Légales