Последно актуализиране :
27/04/2026
Други   Indocyanine green  
Инжекция/Инжекционен
Стабилност на разтвори Стабилност на смеси Фактори, повлияващи стабилността Съвместимост Път на въвеждане Библиография Pdf
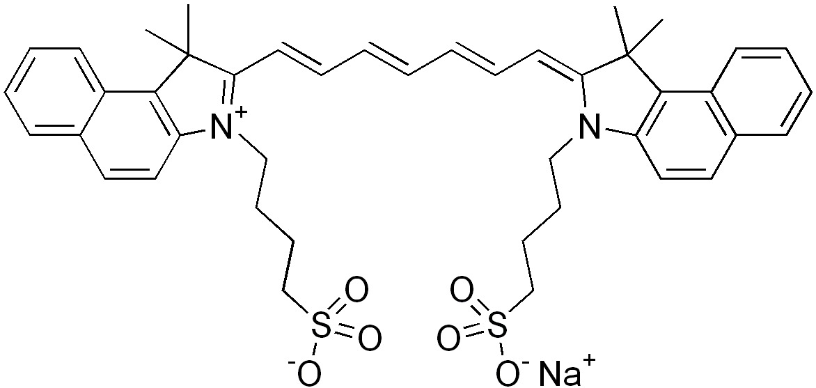
   Химична структура  

Търговско наименование   Търговско наименование     

Търговските имена са примерни и съставът на помощните вещества може да бъде различен в зависимост от държавата и лабораториите

Infracyanine Франция
Verdye Белгия, Германия, Ирландия, Испания, Италия, Румъния, Унгария, Швеция
Път на въвеждане   Път на въвеждане :Indocyanine green     
Voie
Интравенозно

  Mentions Légales