Viimeisin päivitys :
27/04/2026
Muut   Indocyanine green  
Injektioneste
Stabilius liuoksessa Stabilius seoksissa Tekijät, jotka vaikuttavat stabiliuteen Yhteensopivuus Antotapa Viitteet pdf
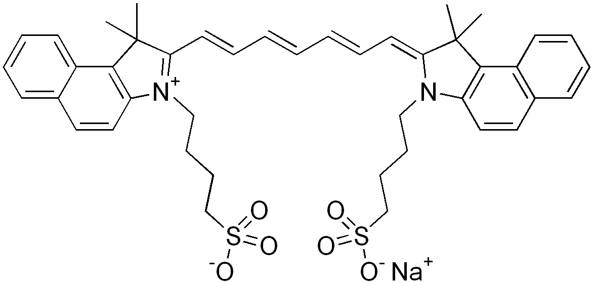
   Kemiallinen rakenne  

Kauppanimi   Kauppanimi     

Trade names are indicative and excipients composition can be different depending on the country and manufacturers

Infracyanine Ranska
Verdye Belgia, Espanja, Irlanti, Italia, Romania, Ruotsi, Saksa, Unkari
Antotapa   Antotapa :Indocyanine green     
Voie
Intravenoosi

  Mentions Légales