Senaste uppdateringen :
27/01/2026
Antibiotikum   Clindamycine hydrochloride  
Oral lösning
Stabilitet av läkemedel Stabilitet i blandningar Faktorer som påverkar stabiliteten Kompatibilitet Hänvisningar pdf
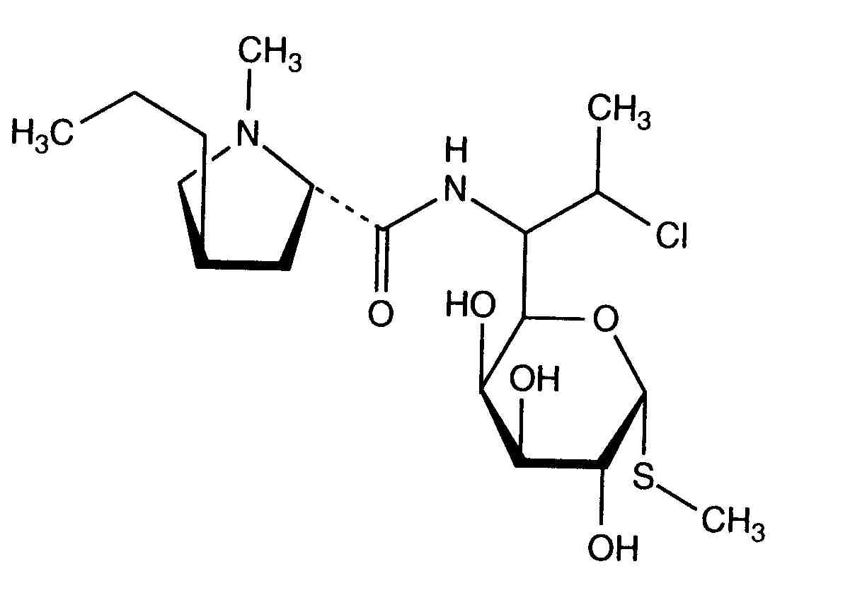
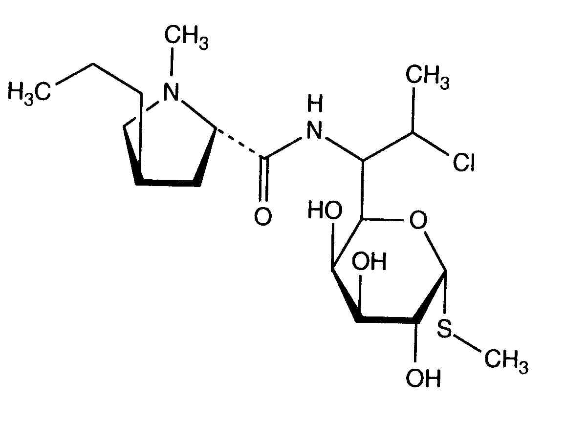
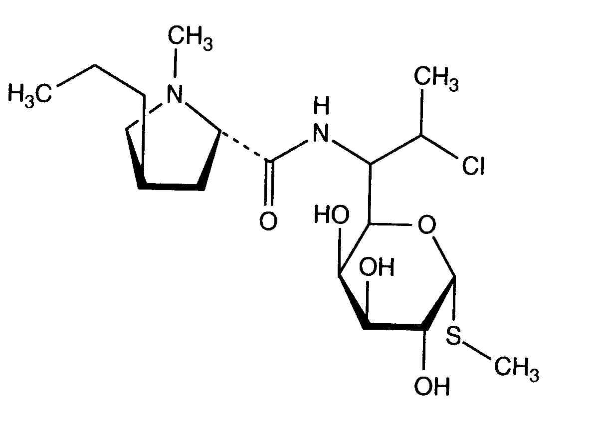
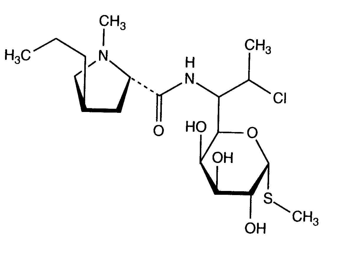
   Molekylstruktur  

Oral lösning

Faktorer som påverkar stabiliteten   Oral lösning   Faktorer som påverkar stabiliteten : Clindamycine hydrochloride        
Ingen uppgift

  Mentions Légales