viimane versioon :
27/01/2026
antibiootikum   Clindamycine hydrochloride  
suukaudne lahus
Stabiilsust ravimpreparaadid Stabiilsust mõjutavad tegurid stabiilsust mõjutavad faktorid Sobimatus Viited pdf
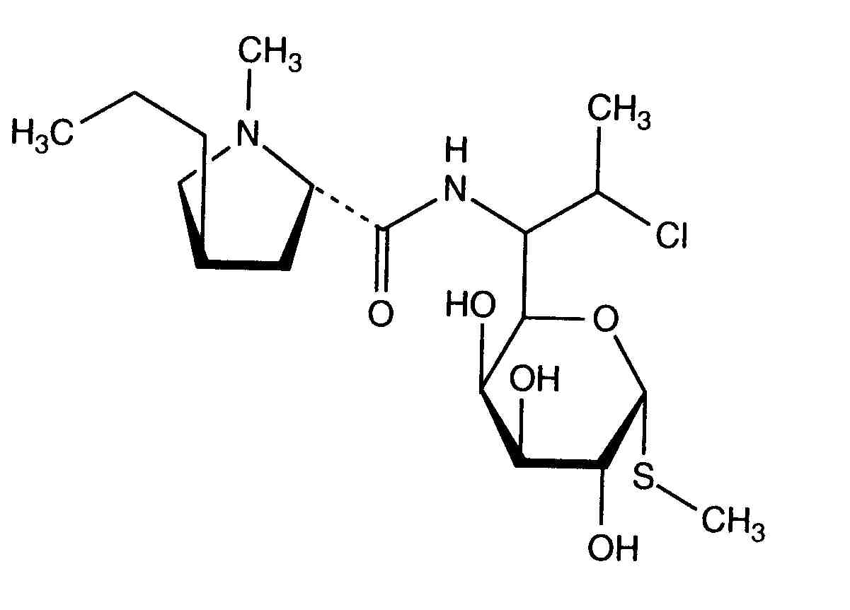
   keemiline struktuur  

suukaudne lahus

stabiilsust mõjutavad faktorid   suukaudne lahus   stabiilsust mõjutavad faktorid : Clindamycine hydrochloride        
andmed puuduvad

  Mentions Légales