Utolsó frissítés :
27/01/2026
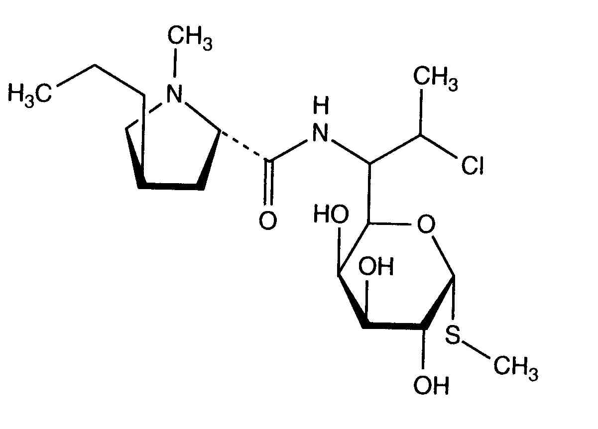
Antibiotikum   Clindamycine hydrochloride  
belsőleges oldat
Stabilitása gyógyszerészeti készítmények A keverékek stabilitása Stabilitást befolyásoló tényezők Kompatibilitás Irodalom pdf
   Kémiai szerkezet   

belsőleges oldat

Stabilitást befolyásoló tényezők   belsőleges oldat   Stabilitást befolyásoló tényezők : Clindamycine hydrochloride        
Hiányzó adat

  Mentions Légales