Zadnji put ažurirano :
27/01/2026
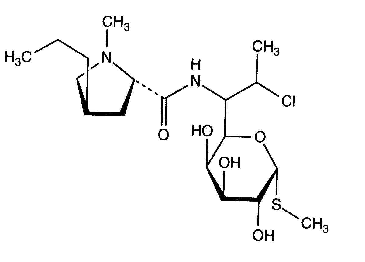
antibiotik   Clindamycine hydrochloride  
oralna otopina
Stabilnost farmaceutskih pripravaka Stabilnost mješavine Stabilizacijski faktor Kompatibilnosti Bibliografija pdf
   Kemijska struktura  

oralna otopina

Stabilizacijski faktor   oralna otopina     Stabilizacijski faktor : Clindamycine hydrochloride        
bez podataka

  Mentions Légales