zadnja posodobitev :
27/01/2026
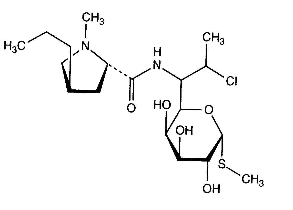
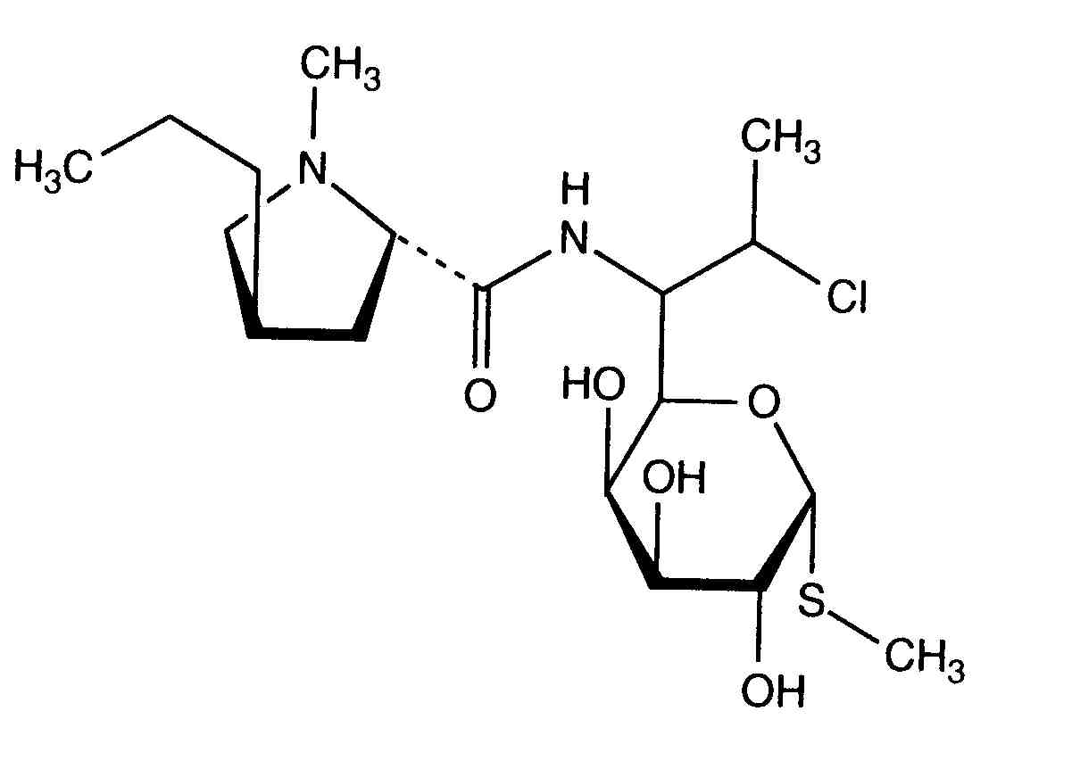
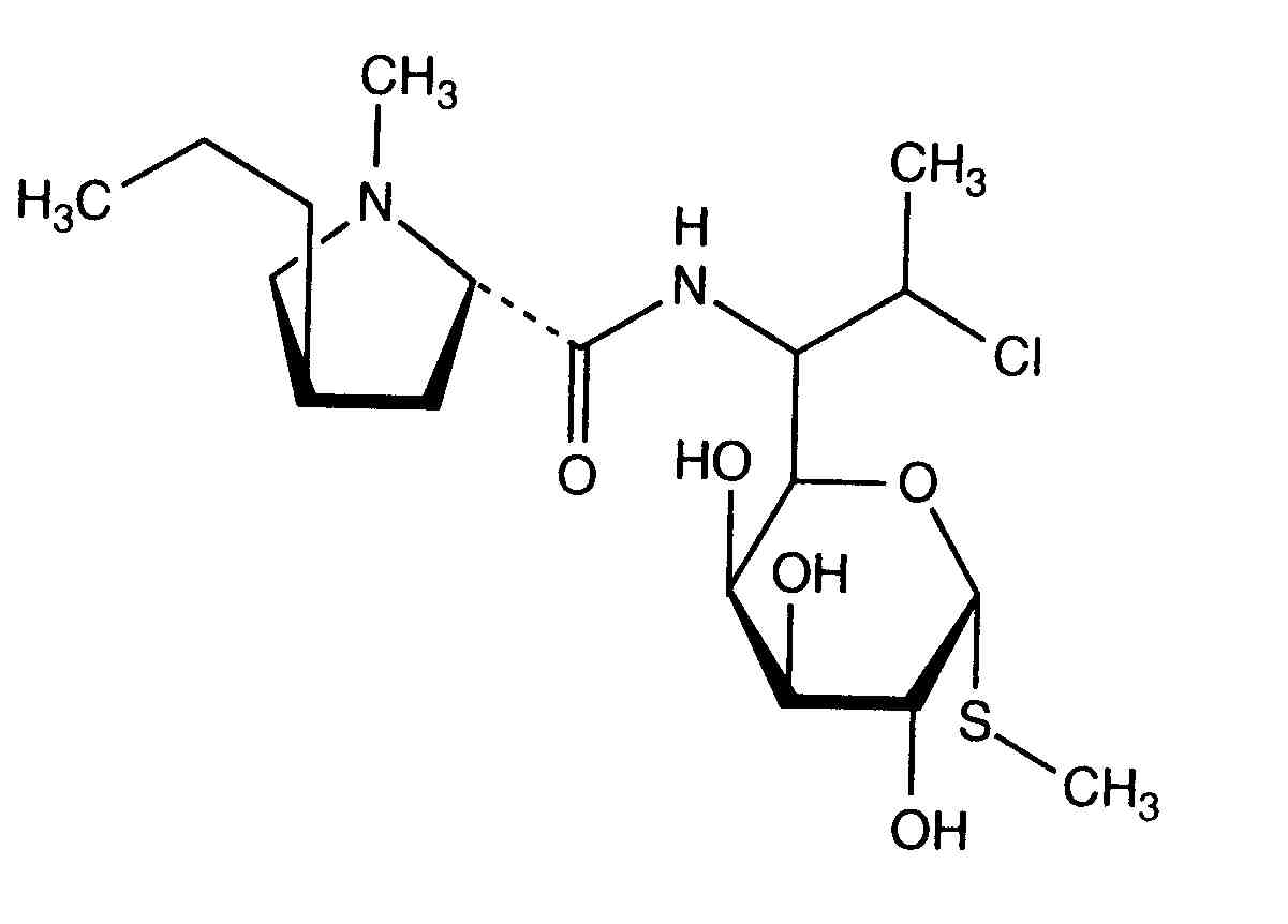
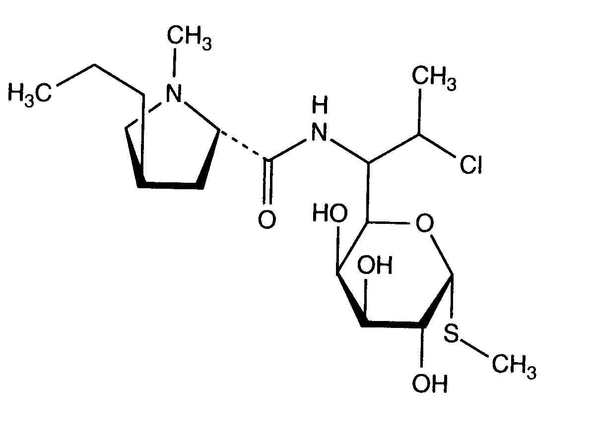
Antibiotik   Clindamycine hydrochloride  
Peroralna raztopina
Stabilnost farmacevtskih preparatov Stabilnost mešanice Faktorji, ki vplivajo na stabilnost Kompatibilnost Viri pdf
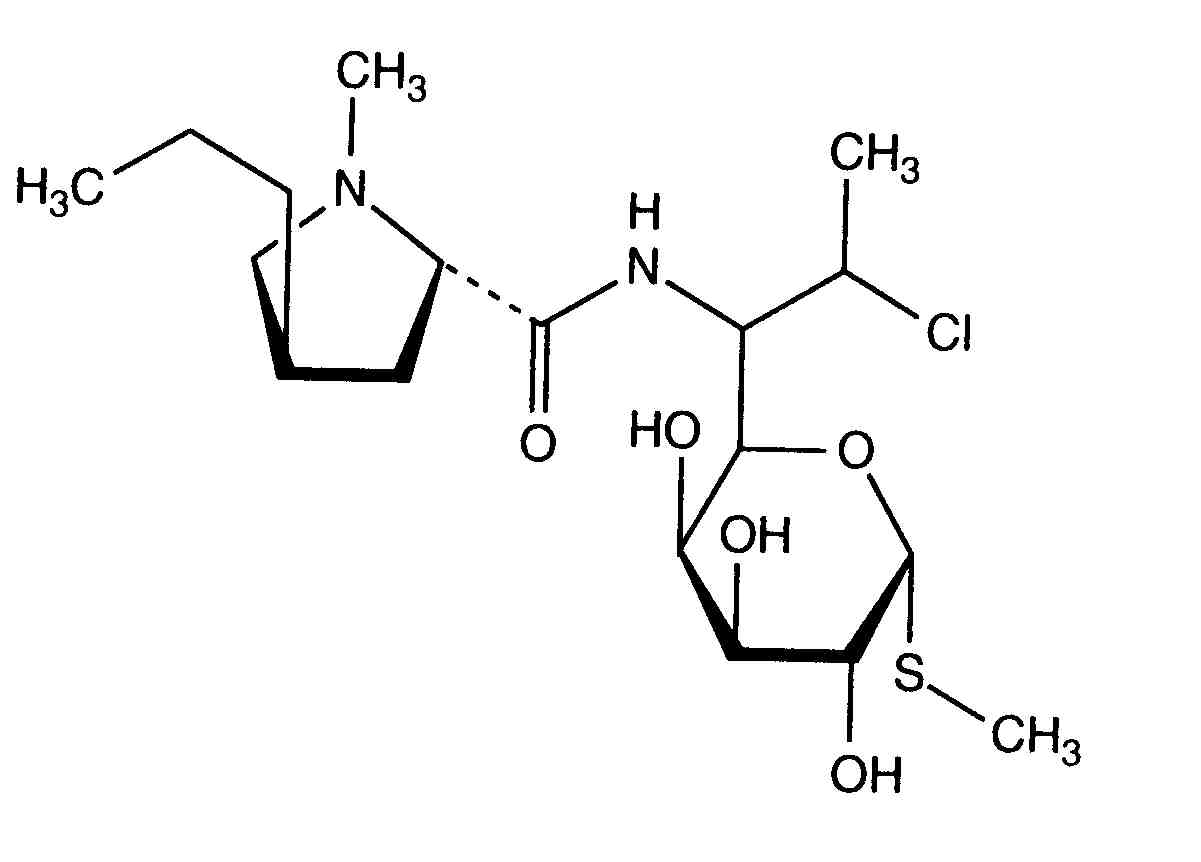
   Kemična formula  

Peroralna raztopina

Faktorji, ki vplivajo na stabilnost   Peroralna raztopina   Faktorji, ki vplivajo na stabilnost : Clindamycine hydrochloride        
ni podatka

  Mentions Légales