Letztes “update” :
27/01/2026
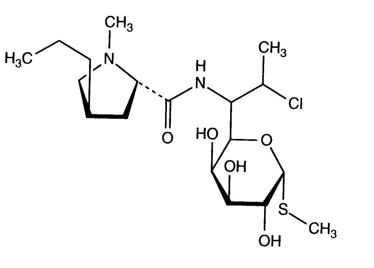
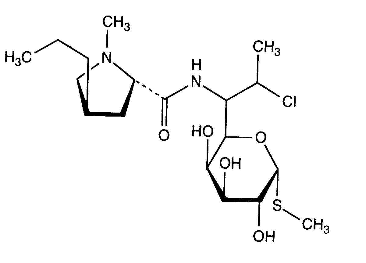
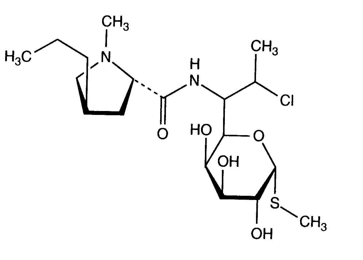
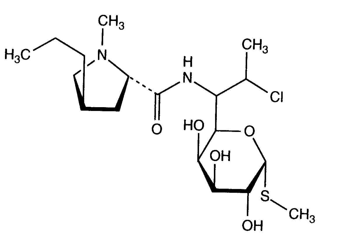
Antibiotikum   Clindamycine hydrochloride  
Lösung zum Einnehmen
Stabilität von pharmazeutischen Präparaten Gemengestabilität Stabilitätbeeinflussende Faktoren Kompatibilitäten Literaturverzeichnis pdf
   Chemische Struktur  

Lösung zum Einnehmen

Stabilitätbeeinflussende Faktoren   Lösung zum Einnehmen   Stabilitätbeeinflussende Faktoren : Clindamycine hydrochloride        
Keine Daten

  Mentions Légales