Poslední aktualizace :
27/01/2026
Antibiotikas   Clindamycine hydrochloride  
Geriamas tirpalas
Stabilumas farmacinių preparatų Mišinių stabilumas Stabilumą lemiantys veiksniai Suderinamumas Bibliografija pdf
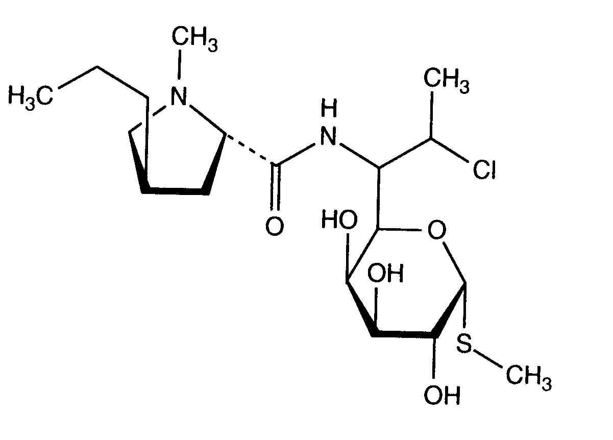
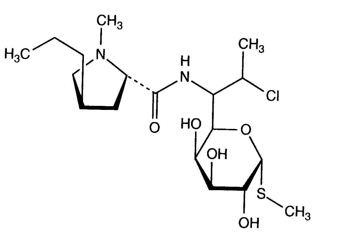
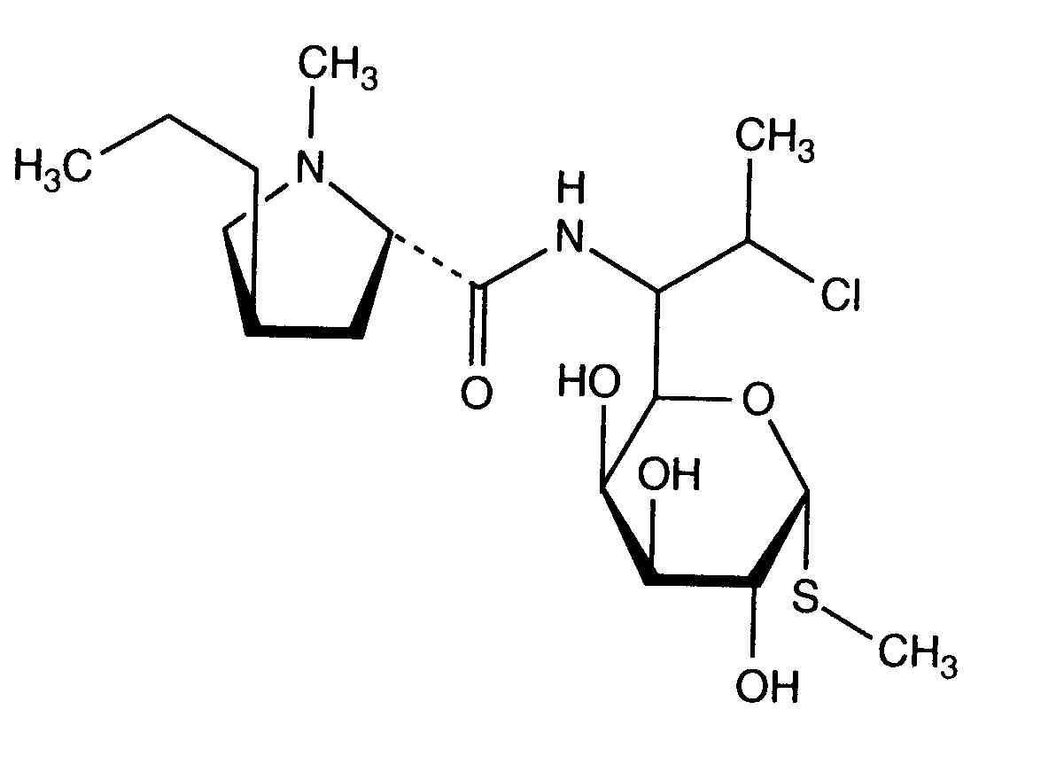
   Cheminė sandara  

Geriamas tirpalas

Stabilumą lemiantys veiksniai   Geriamas tirpalas   Stabilumą lemiantys veiksniai : Clindamycine hydrochloride        
Nėra duomenų

  Mentions Légales