Pēdējā atjaunošana :
27/04/2026
Antibiotika   Azithromycine  
Ziedes
Injekcija
Stabilitāte farmaceitisko preparātu Maisījuma stabilitāte Stabilitāti ietekmējoši faktori Saderība Literatūras saraksts pdf
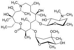
   Ķīmiskā uzbūve   

Ziedes
Literatūras saraksts   Ziedes   Literatūras saraksts : Azithromycine  
tips publicēšana
2894 Žurnāls McHugh RC, Sangha ND, Mc Carty MA et al.
A topical azythromycin preparation for the treatment of acne vulgaris and rosacea.
J Dermatolog Treat 2004 ; 15: 295-302.

  Mentions Légales