Zadnji put ažurirano :
27/04/2026
Infostab
Liste
Liste sazetaka
Potražite kompatibilnosti
Tablica kompatibilnosti Y-mjesta
Bibliografija
istraživačkih timova
valistab
Plakat
Linkovi
sponzori
Autor
Priručnik za korisnike
Bilten
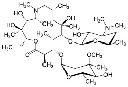
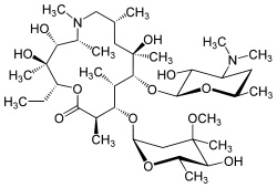
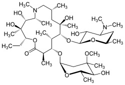
Azithromycine
Kemijska struktura
Bibliografija : Azithromycine
Vrsta
Publikacija
2894
Časopis
McHugh RC, Sangha ND, Mc Carty MA et al.
A topical azythromycin preparation for the treatment of acne vulgaris and rosacea.
J Dermatolog Treat 2004 ; 15: 295-302.
Mentions Légales