viimane versioon :
27/04/2026
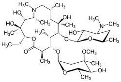
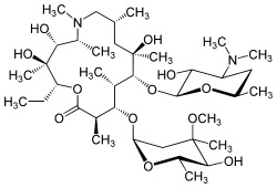
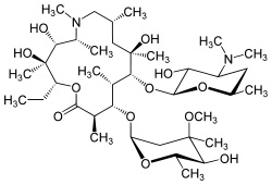
antibiootikum   Azithromycine  
salv
Süsteravim
Stabiilsust ravimpreparaadid Stabiilsust mõjutavad tegurid stabiilsust mõjutavad faktorid Sobimatus Viited pdf
   keemiline struktuur  

salv
Viited   salv   Viited : Azithromycine  
tüüp avaldamine
2894 ajaleht McHugh RC, Sangha ND, Mc Carty MA et al.
A topical azythromycin preparation for the treatment of acne vulgaris and rosacea.
J Dermatolog Treat 2004 ; 15: 295-302.

  Mentions Légales