Последно актуализиране :
27/04/2026
Антибиотик   Azithromycine  
Унгвент/Унгвенти
Инжекция/Инжекционен
Стабилност на лекарствени препарати Стабилност на смеси Фактори, повлияващи стабилността Съвместимост Библиография Pdf
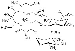
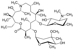
   Химична структура  

Унгвент/Унгвенти
Библиография   Унгвент/Унгвенти   Библиография : Azithromycine  
Вид Публикация
2894 Списание McHugh RC, Sangha ND, Mc Carty MA et al.
A topical azythromycin preparation for the treatment of acne vulgaris and rosacea.
J Dermatolog Treat 2004 ; 15: 295-302.

  Mentions Légales