Senaste uppdateringen :
27/04/2026
Diverse   N-acetylcysteine  
Aerosol
injektion ögondroppar Oral lösning
Stabilitet av läkemedel Stabilitet i blandningar Faktorer som påverkar stabiliteten Kompatibilitet Hänvisningar pdf
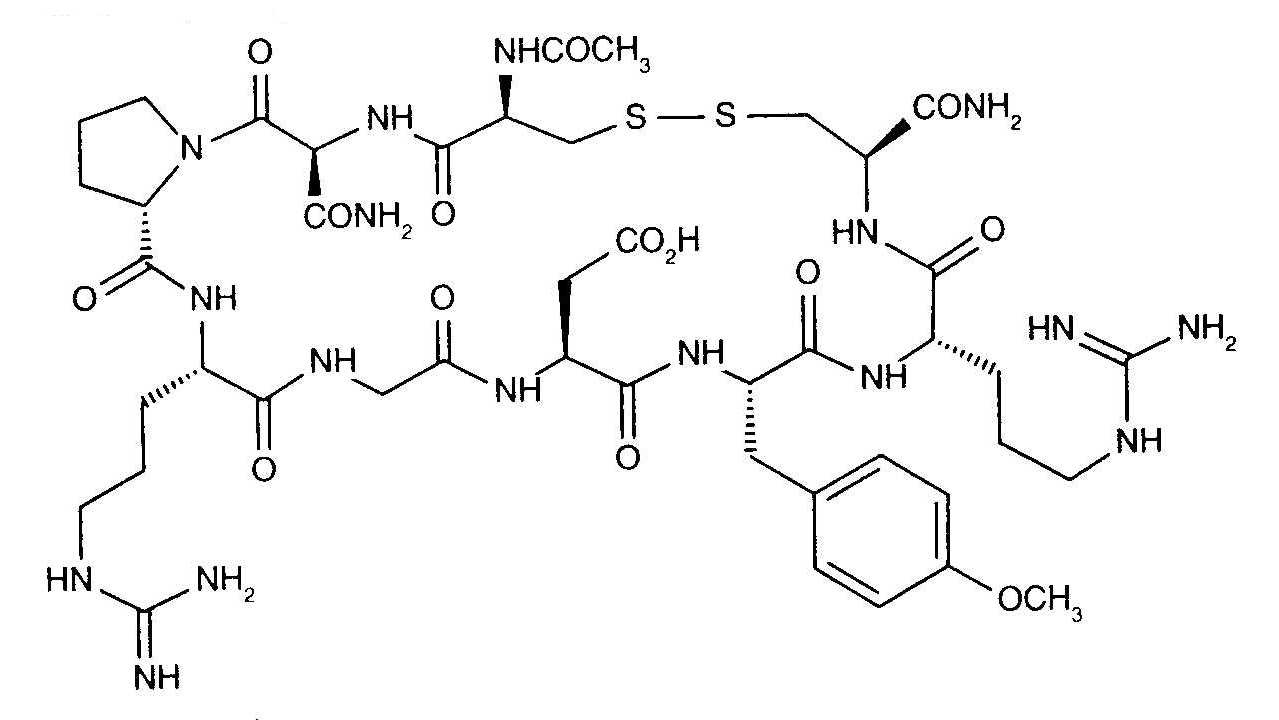
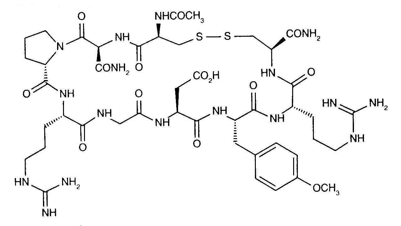
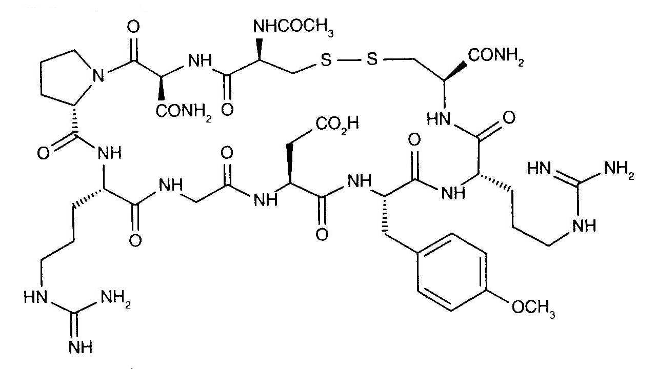
   Molekylstruktur  

Aerosol

Faktorer som påverkar stabiliteten   Aerosol   Faktorer som påverkar stabiliteten : N-acetylcysteine        
Ingen uppgift

  Mentions Légales