viimane versioon :
27/04/2026
mitmesugune   N-acetylcysteine  
aerosool
Silmatilgad Süsteravim suukaudne lahus
Stabiilsust ravimpreparaadid Stabiilsust mõjutavad tegurid stabiilsust mõjutavad faktorid Sobimatus Viited pdf
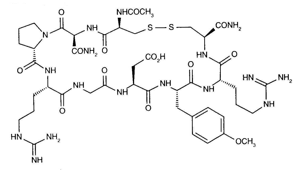
   keemiline struktuur  

aerosool

stabiilsust mõjutavad faktorid   aerosool   stabiilsust mõjutavad faktorid : N-acetylcysteine        
andmed puuduvad

  Mentions Légales