Last update :
27/04/2026
Various   N-acetylcysteine  
aerosol
Eye-drops injection Oral solution
Stability of pharmaceutical preparations Stability of mixtures Factors which affect stability Compatibility References pdf
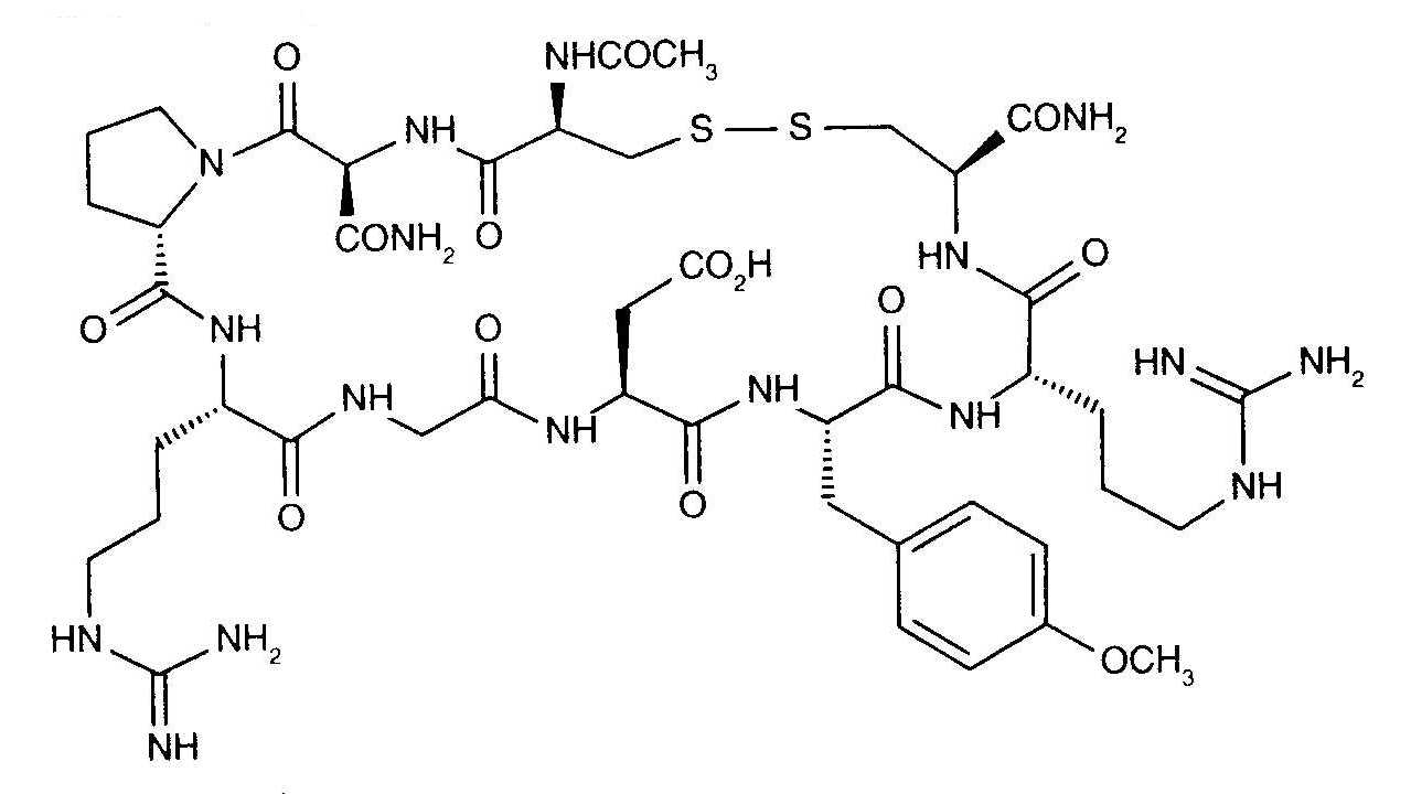
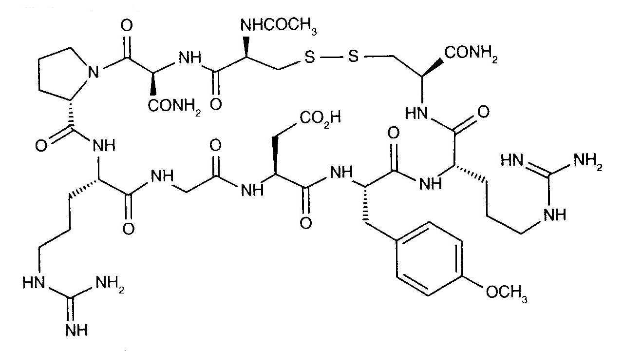
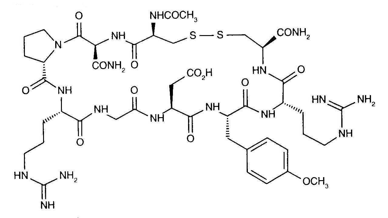
   Chemical structure  

aerosol

Factors which affect stability   aerosol   Factors which affect stability : N-acetylcysteine        
No data

  Mentions Légales