Последно актуализиране :
27/04/2026
Други   N-acetylcysteine  
Аерозол
Инжекция/Инжекционен Капки за очи Орален разтвор
Стабилност на лекарствени препарати Стабилност на смеси Фактори, повлияващи стабилността Съвместимост Библиография Pdf
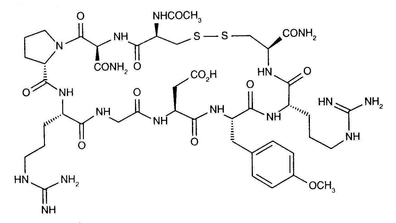
   Химична структура  

Аерозол

Фактори, повлияващи стабилността   Аерозол   Фактори, повлияващи стабилността : N-acetylcysteine        
Няма данни

  Mentions Légales