Poslední aktualizace :
27/04/2026
Různé   N-acetylcysteine  
Aerosol
Humbuk injekce Perorální roztok
Stabilita farmaceutických přípravků Stabilita směsí Faktory ovlivňující stabilitu Kompatibilita Odkazy pdf
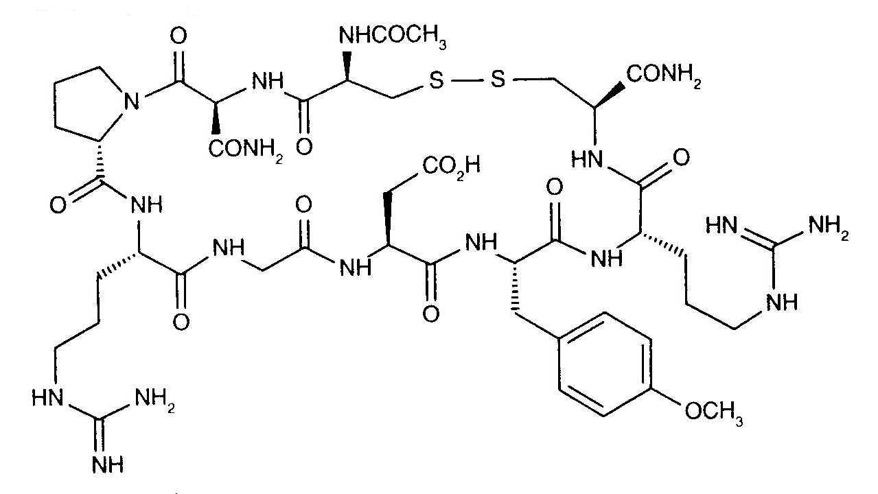
   Chemický vzorec  

Aerosol

Faktory ovlivňující stabilitu   Aerosol   Faktory ovlivňující stabilitu : N-acetylcysteine        
žádná data

  Mentions Légales