Τελευταία ενημέρωση :
27/04/2026
Λοιπά   N-acetylcysteine  
Αεροζόλ
Ενέσιμο Οφθαλμικές σταγόνες Πόσιμο διάλυμα
Σταθερότητα και συμβατότητα των φαρμάκων Σταθερότητα σε μίγματα Παράγοντας που επηρεάζει τη σταθερότητα Συμβατότητες Βιβλιογραφία pdf
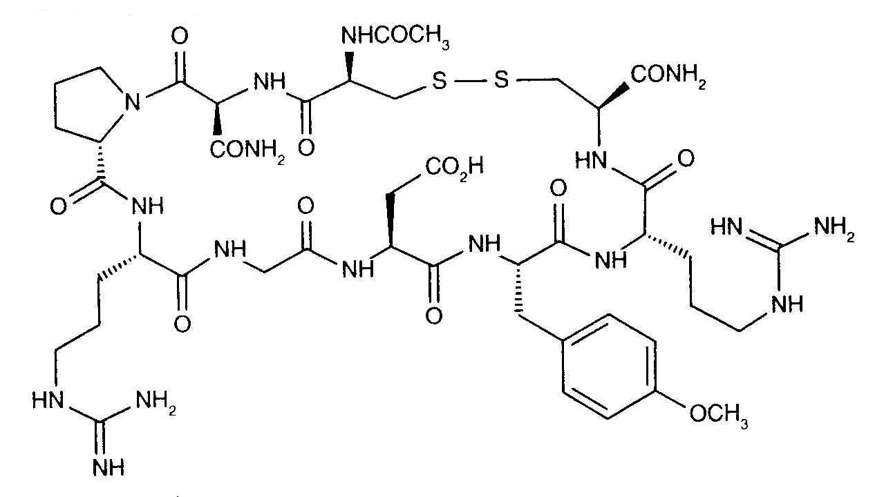
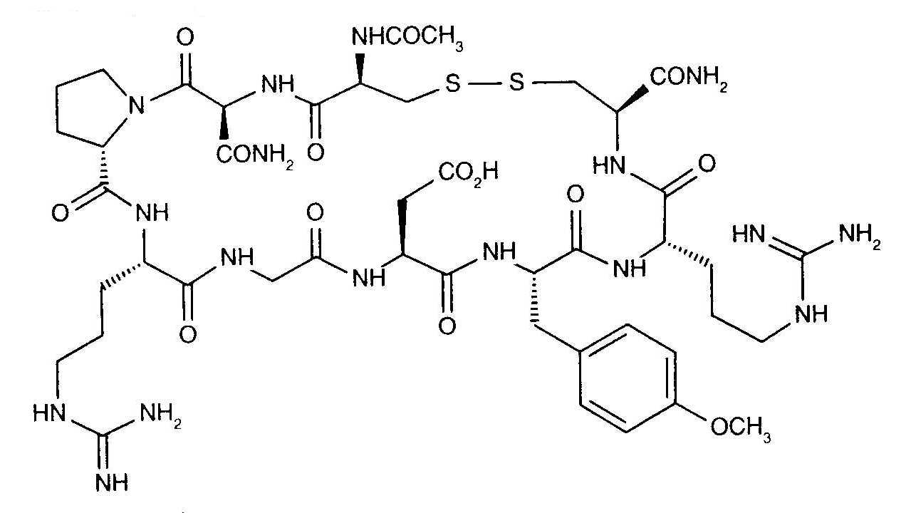
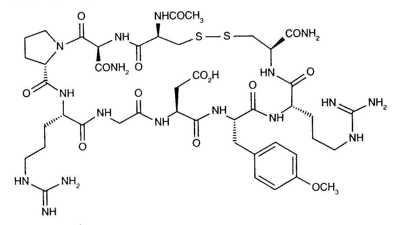
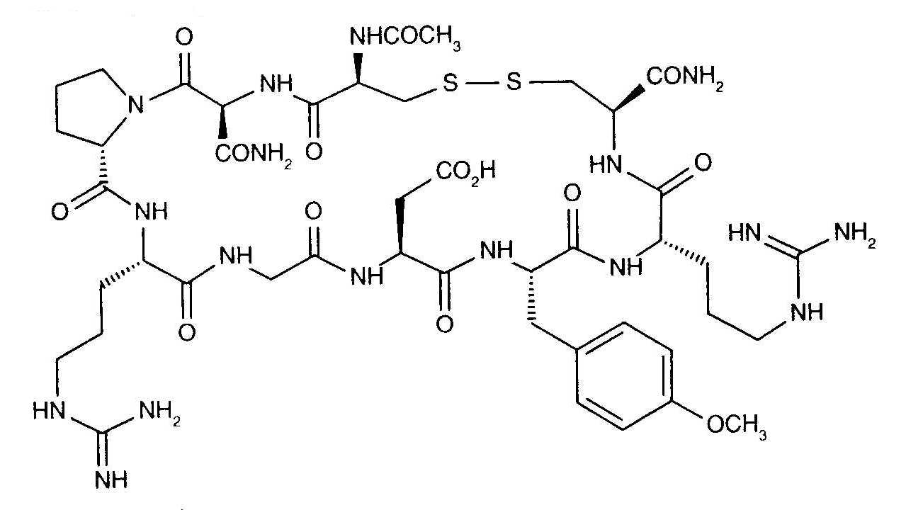
   χημική δομή  

Αεροζόλ

Παράγοντας που επηρεάζει τη σταθερότητα   Αεροζόλ   Παράγοντας που επηρεάζει τη σταθερότητα : N-acetylcysteine        
Δεν υπάρχουν πληροφορίες

  Mentions Légales