Poslední aktualizace :
27/01/2026
Antibiotikas   Tobramycin sulfate   
Akių lašai
Aerozolis Geriamas tirpalas Įpurškimas
Stabilumas farmacinių preparatų Mišinių stabilumas Stabilumą lemiantys veiksniai Suderinamumas Bibliografija pdf
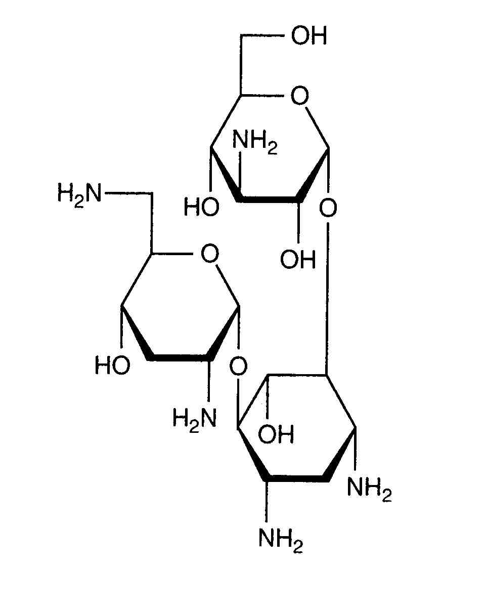
   Cheminė sandara  

Akių lašai
Stabilumas farmacinių preparatų   Akių lašai   Stabilumas farmacinių preparatų : Tobramycin sulfate      
Pakuotė Origine Ekscipientas Temperatūra Laikymas Stabilumo trukmė Nuorodos
Plastikinis butelis Vaistų buteliukas injekcijoms 5 ml
Nebcin® 40 mg/ml
Tobrex® 3 mg/ml akių lašai 2 ml
4-8°C Apsaugotas nuo šviesos
90 Diena
2487


  Mentions Légales