Ostatnia aktualizacja :
27/01/2026
Antybiotyk   Tobramycin sulfate   
Krople oczne
Aerozol Injekcje Roztwór doustny
Stabilność preparatów farmaceutycznych Trwałość w mieszaninie Czynnik wpływający na trwałość Zgodność Bibliografia pdf
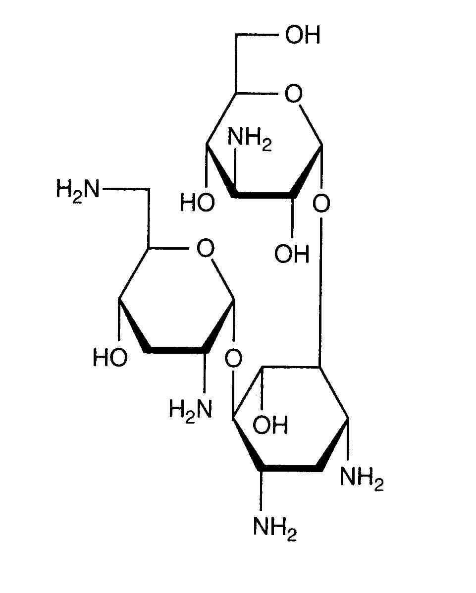
   Struktura chemiczna  

Krople oczne
Stabilność preparatów farmaceutycznych   Krople oczne   Stabilność preparatów farmaceutycznych : Tobramycin sulfate      
Pojemnik Origine Substancja pomocniczna Temperatura Przechowywanie Czas trwania stabilności Bibliografia
Butelka plastikowa Fiolka 5 ml
Nebcin® 40 mg/ml
Tobrex® 3 mg/ml, krople oczne 2 ml
4-8°C Chronić od światła
90 Dzień
2487


  Mentions Légales