Viimeisin päivitys :
05/12/2025
Infostab
Luettelo yhdisteistä
Yhteenveto-luettelot
Etsi yhteensopivuutta
Y-sivuston yhteensopivuustaulukko
Viitteet
tutkimus Joukkueet
valistab
ilmoitus
Liitännät
sponsorit
Tekijät
Käyttöohje
Uutiskirje
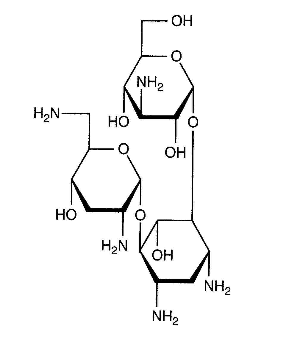
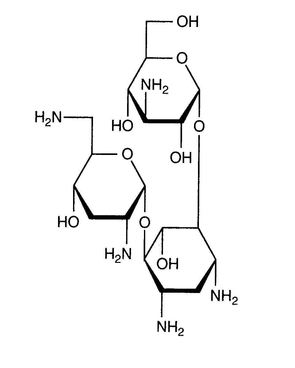
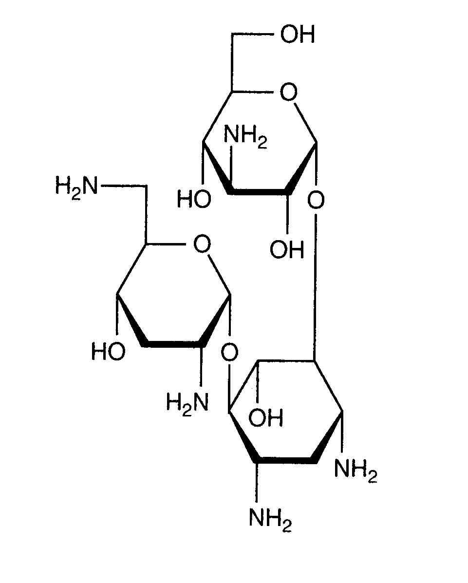
Tobramycin sulfate
Kemiallinen rakenne
Vakaus lääkevalmisteen : Tobramycin sulfate
5 ml
Nebcin® 40 mg/ml
Tobrex® 3 mg/ml silmätipat
2 ml
4-8°C
90
2487
Mentions Légales