zadnja posodobitev :
27/01/2026
Zaviralec adrenergičnih receptorjev beta   Carvedilol  
Peroralna raztopina
Stabilnost farmacevtskih preparatov Stabilnost mešanice Faktorji, ki vplivajo na stabilnost Kompatibilnost Viri pdf
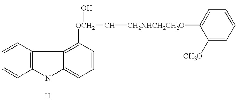
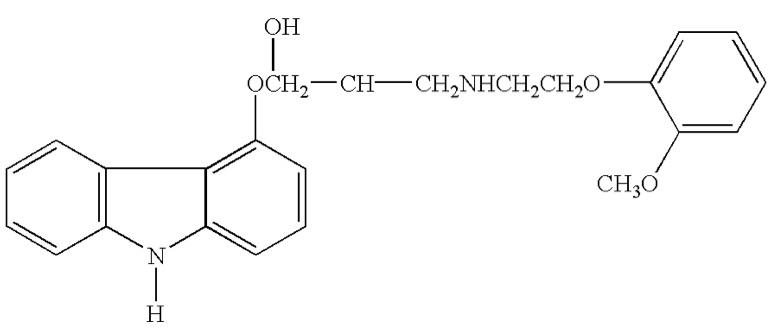
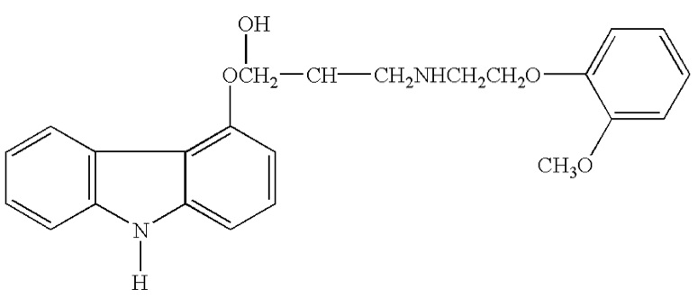
   Kemična formula  

Peroralna raztopina
Stabilnost mešanice   Peroralna raztopina   Stabilnost mešanice : Carvedilol     
ni podatka

  Mentions Légales