Poslední aktualizace :
27/01/2026
beta-blokátor   Carvedilol  
Perorální roztok
Stabilita farmaceutických přípravků Stabilita směsí Faktory ovlivňující stabilitu Kompatibilita Odkazy pdf
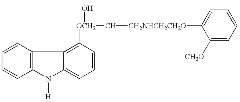
   Chemický vzorec  

Perorální roztok
Stabilita směsí   Perorální roztok   Stabilita směsí : Carvedilol     
žádná data

  Mentions Légales